/ Отделка кож / Глава 6 / Полиуретаны
|
|
|
Структура полиуретанов. К полиуретанам относится весьма обширный класс полимеров, часто сильно отличающихся химической природой и строением цепи, но неизменно содержащих определенное число уретановых групп -NH-СО-О-. Сейчас полиуретаны находят широкое применение для отделки кожи, благодаря тому что полиуретановые пленки обладают комплексом таких свойств, как эластичность и твердость, высокая износостойкость, а также красивым внешним видом. Они придают коже новые ценные свойства: устойчивость покрытия к воде, органическим растворителям и атмосферным воздействиям, высокий блеск, а также облегчают чистку и уход за обувью. Полиуретановая пленка обладает высокой адгезией к поверхности кожи, устойчива к истиранию и механическим повреждениям.
При отделке кожи полиуретаны часто комбинируют с другими полимерами - ПВХ, полиамидами, полиакрилатами, нитроцеллюлозой.
Известно несколько способов получения полиуретанов. Наиболее широкое распространение получил синтез полиуретанов на базе двух- или более функциональных изоцианатов, которые по реакции ступенчатой полимеризации (полиаддукции) весьма активно взаимодействуют с гидроксильными, амино-, кислотными и другими группами, содержащими активный водород, а также с водой
|
|
Выбирая соответствующие исходные компоненты, можно получить продукты как линейной, так и пространственной структуры с необходимыми оптимальными свойствами:
|
|
(В схеме использованы обозначения: - - - - - - - диизоцианат, 0 -уретановая группа, I -триол).При взаимодействии триизоцианата с диолом также получаются продукты с пространственной структурой.
В качестве первого компонента могут служить: 2,4-толуилендиизоцианат (ТДИ, продукт 102-Т): (изоцианатная группа может быть и в положении 2,6).
|
|
1,6-гексаметилендиизоцианат (ГДИ): OCN-(СН2)6 - NCO; дифенилметан 4,4'-диизоцианат (МДИ):
|
В ФРГ такие продукты выпускаются под названием "десмодуры", а описываемые ниже полиэфиры - "десмофены".
Ароматические диизоцианаты более активны и менее токсичны, чем алифатические, но последние вследствие отсутствия ауксохромных групп образуют полиуретаны более светостойкие.
Вторым наряду с диизоцианатами, но не менее важным исходным компонентом при синтезе полиуретанов являются сложные полиэфиры (десмофены), получаемые этерификацией бифункциональных кислот и спиртов и содержащие концевые ОН-группы. Из кислот чаще всего фигурирует адипиновая, фталевая, себациановая, малеиновая, из спиртов - этиленгликоль, тетраметиленгликоль. Молекулярная масса этих сложных полиэфиров лежит в пределах 600-40 000 [79]. Масса полиэфирных звеньев составляет 50-80 % от массы конечного продукта и определяет гибкость его цепей и другие свойства.
Сложные полиэфиры часто заменяют более дешевыми - простыми, такими, например, как полиоксипропиленгликоль, тетрагидрофуран. Кроме того, в состав полиуретанов почти всегда входят удлинители цепочки (например, 1,4-бутиленгликоль и 4,4/-метилен-бис-(орто-хлоранилин).
Таким образом, под символом R' в уравнении реакции подразумевается цепочка достаточно большой длины, а полиуретаны часто считают блоксополимерами.
Подбор компонентов диктуется требованиями к свойствам продукта: симметрия структуры молекулы повышает склонность к кристаллизации, более длинная цепочка метиленовых групп обусловливает гибкость молекул, ароматические кислоты придают термостойкость, с повышением содержания полярных групп снижается устойчивость к гидролизу.
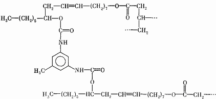
Образовавшиеся первичные продукты присоединения, содержащие реакционноспособные мочевинные, амидные и другие группы, могут вступать во вторичную реакцию с изоцианатными группами, образуя разветвленную или сшитую структуру:
|
|
Для обеспечения высоких эластических свойств в структуре полиуретана мягкие длинные полимерные сегменты 1 (рис. 58) должны чередоваться с жесткими 2, в которых концентрируются водородные связи.

Рис.58. Схема строения полиуретана: 1 -мягкие сегменты; 2 -жесткие сегменты
|
Мягкими (гибкими) сегментами являются гидроксилсодержащие олигомеры, обладающие большой растяжимостью, жесткими - изоцианатгликоль или изоцианатамин, которые образуют довольно стабильные звенья, трудно поддающиеся деформации.
При условиях эксплуатации мягкие сегменты находятся в высокоэластическом состоянии, жесткие сегменты, температура стеклования которых значительно выше, составляют узлы пространственной сетки, способной к большим обратимым упругим деформациям и неспособной к течению при обычной температуре. Температура текучести сополимера тем выше, чем сильнее когезия жестких сегментов [80].
Полиолы с большим числом гидроксильных групп дают более твердые и менее гибкие пленки, а полиолы с меньшим числом этих групп - более мягкие. Применение медленно реагирующих полиэфиров с высокой относительной молекулярной массой также приводит к получению мягких эластичных пленок. Обычно соотношение диизоцианатов и диолов составляет 1:1; в случае повышения доли первого компонента образуются более твердые и химически стойкие пленки. В растворителях полиуретанов не допускается присутствие активного водорода, способного вступать в реакцию с изоцианатами.
В нашей стране исследования полиуретанов в качестве отделочных материалов для кожи проводятся в КТИЛПе.
Для отделки кожи авторы [81, 82] рекомендуют применять гидроксидсодержащие полиуретансемикарбазиды, синтезированные на основе полиокситетраметиленгликоля, 4,4-дифенил-метандиизоцианата и производных гидразина. Пленки из 22%-ного раствора этого полиуретана в диметилформамиде после длительной (6 ч) термообработки при температуре 110 - 130 °С сохраняли высокие физико-механические свойства, способность их сорбировать пары воды и паропроницаемость при этом практически не изменялись. Полиуретановые покрытия на спилке отличались высокой адгезией и устойчивостью к истиранию.
|
Таблица 14. Зависимость свойств пленок от соотношения групп NCO/OH
| Соотношение групп NCO/OH |
Предел прочности при растяжении, Н/мм2 |
eр, % |
| 1,6 | 23,3 | 200
|
|
| 1,8 | 35,3 | 130
|
|
| 2,0 | 36,1 | 110
|
|
| 2,2 | 39,0 | 96
|
|
|
Предложены также двухкомпонентные композиции, получаемые смешением сложных олигоэфиров (промышленная марка - продукт П -1) и изоцианатного компонента (промышленная марка ТТ -75). Последний представляет собой 75 % -ный раствор в метилэтилкетоне аддукта триметилпропанола и ТДИ. Эти компоненты в различных соотношениях растворяли в этилацетате для получения свободных пленок и покрытия на кожевенном спилке.
Свойства свободных пленок существенно зависят от отношения групп NCO/OH (табл. 14).
Поскольку продукт ТТ -75 имеет пространственное строение, то полимер пленки приобретает частично сшитую структуру, а сама пленка - высокую прочность при сравнительно небольшом удлинении.
Полиуретановую композицию указанного выше состава методом полива с последующей сушкой (1 ч при температуре 70-80 °С) наносили на спилок, предварительно загрунтованный грунтом на основе латекса ДММА-65-1 (спилок 1) и пигментированным полиуретановым латексом (спилок 2). Толщина лакового покрытия составляла 0,10-0,12 мм (табл. 15). Полиуретановое покрытие сильно упрочняет спилок в целом - предел прочности при растяжении отделанного спилка в два раза выше, чем неотделанного [81].
|
Таблица 15. Сравнительная характеристика лакового покрытия на спилке
| Спилок |
Адгезия, Н/см |
Устойчивость к многократному изгибу, тыс. циклов |
Паропроницаемость,мг/(см2•ч) |
| в сухом состоянии |
в мокром состоянии |
| Без покрытия | - | - | - | 8,3
|
|
| С полиуретановым покрытием КТИЛП (спилок 1) | 2,9 | 1,4 | 36 | 2,6
|
|
| С покрытием на базе импортных материалов (спилок 1) | 6,6 | 2,7 | 85 | 2,3
|
|
| С полиуретановым покрытием КТИЛП (спилок 2) | 9,8 | 2,9 | 65 | 3,4
|
|
|
На основе двухкомпонентных полиуретанов можно получить эластичные монолитные пленки с хорошими физико-механическими свойствами при температуре их формирования 20, 60, 80 и 100 0С соответственно за 48, 6, 4 и 1 ч.
При соотношении групп NCO/OH, равном 1,8-1,9, получены лаковые пленки с модулем эластичности 400-500 Н/см2 и прочностью 25-30 Н/мм2, что отвечает требованиям к покрытиям для кожи [82].
При отделке кож используют не только формирование полиуретановой пленки непосредственно на поверхности кожи, но и приклеивание заранее изготовленной пленки. Микропористая полиуретановая пленка обладает хорошей паропроницаемостью, однако вследствие ее высокой пористости устойчивость к трению и предел прочности при растяжении снижаются. Вначале при относительно низкой пористости происходит резкое падение прочности, с увеличением пористости - кривая имеет более плавный ход, т. е. снижение прочности замедляется (рис. 59).

Рис. 59. Зависимость предела прочности при растяжении пленки от ее паропроницаемости
|
Оптимальное значение паропроницаемости полиуретановых пленок лежит в пределах 5-10 мг/(см2•ч). При таком значении паропроницаемости прочность пленки и другие свойства соответствуют требованиям. Паропроницаемость пленок тесно связана с их пористостью, последняя в свою очередь предопределяет кажущуюся плотность, что иллюстрирует рис. 60 [83].

Рис. 60. Зависимость паропроницаемости пленки от ее кажущейся плотности
|
Типы полиуретановых покрытий. Применяемые для отделки кожи полиуретаны можно подразделить на две основные группы: системы в органических растворителях и системы в водной среде, в каждую из которых входит несколько типов [84].
Однокомпонентные реактивные полиуретаны представляют собой продукты ступенчатой полимеризации (полиаддукции) изоцианатов со сложными эфирами при некотором избытке первых. Эти продукты содержат некоторое количество свободных групп -N=C=O, которые способны отверждать пленку без добавления других компонентов. Они стабильны при условии хранения без доступа влаги, влага атмосферы способствует отверждению пленки с образованием поперечных сшивок.
Однокомпонентные полиуретаны имеют молекулярную массу от 500 до 100000, и растворяются в диметилформамиде, циклогексаноне или же тетрагидрофуране; эти растворители на 30-60 % разбавляют более дешевыми. Универсальный разбавитель состоит из равных частей толуола, этилацетата, бутилацетата и метилцеллозольва.
Для удешевления к однокомпонентным полиуретанам добавляют другие высокомолекулярные вещества. Количество однокомпонентного лака, наносимого на кожу, составляет 50-70 г/м2 [79].
|
К однокомпонентным полиуретанам относят также готовую к употреблению смесь полиола и "блокированного" изоцианата, который может реагировать лишь при условии повышения температуры до 100-150 °С с образованием полиуретана.
Блокирующими агентами могут служить фенолы и некоторые ароматические амины.
|
При нагревании покрытия до температуры 150 °С протекает обратная реакция: блокирующий агент отщепляется, а освобождающаяся изоцианатная группа вступает в реакцию с диолом.
Термопластичные полиуретаны являются также однокомпонентными. Образование пленки из них осуществляется путем физического удаления растворителя. В этом случае соотношение NCO : ОН групп равно единице.
Практически для синтеза таких полиуретанов используют:
а) олигомер типа простого или сложного эфира, оканчивающийся гидроксильными группами и имеющий молекулярную массу 1000-3000;
б) диизоцианат;
в) удлинитель цепочки (гликоль или диамин) с небольшим числом углеродных атомов.
Термопластичные эластомеры (например, дуродерм Т) имеют линейную структуру, но по свойствам напоминают трехмерные полимеры, благодаря сильному когезионному взаимодействию с образованием большого количества водородных связей.
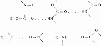
Наличие различных функциональных групп в полиуретанах создает большие возможности для образования межмолекулярных водородных связей трех типов [80]:
|
В образовании водородных связей участвуют протонодонорная группа NH уретана и протоноакцепторные атомы кислорода в простой эфирной и карбоксильной группе. Хотя первые две связи кажутся аналогичными, они различаются местоположением и прочностью. При повышении температуры водородные связи разрушаются, полимер приобретает мягкость и может формироваться, при охлаждении они вновь восстанавливаются. При смешении эластомера с диизоцианатом (отвердителем) между ними может возникать взаимодействие по схеме, указанной выше. В этом случае образуется истинно сшитый полимер, т. е. по типу двухкомпонентной системы.
При нанесении пленки из термопластичного эластомера на кожу методом каширования не требуется вызревание - ее можно прикреплять к коже сразу после охлаждения.
Двухкомпонентные полиуретаны включают жидкий предполимер, отвердитель и ускоритель. Если предполимер имеет конечные изоцианатные группы, то в качестве отвердителя применяют диол или диамин, если же гидроксильные - то, наоборот, отвердителем должен быть диизоцианат. Ускорителями служат соли металлов или же металлорганические соединения. Пленка образуется непосредственно на коже в результате химического взаимодействия между этими компонентами по приведенной выше схеме, причем возникает пространственная (сшитая) структура.
В результате на поверхности кожи образуется слой сшитого весьма стойкого полиуретана.
В качестве растворителей для них рекомендуются смеси, состоящие из равных частей эфиров и ароматических соединений, например этилацетат+бутилацетат + этиленгликольацетат +толуол.
Преимуществом двухкомпонентных систем является то, что при хорошем проникании не исключена возможность взаимодействия полимера с другими отделочными компонентами и функциональными группами самой кожи, в результате чего отделочная пленка приобретает высокую адгезию и кожеподобный характер.
Количество наносимой на кожу двухкомпонентной смеси составляет 60-90 г/м2 [79].
Формирование пленки, как уже упоминалось, сопровождается структурированием полимера - образованием трехмерной структуры.
Поперечные сшивки могут образовываться несколькими путями:
1) в результате реакции конечной изоцианатной группы отвердителя с уретановой группой полимера возникает аллофанатная связь, при этом вторая изоцианатная группа аналогичным образом реагирует с другой цепочкой
|
2) под действием воды образуется поперечная связь с участием мочевинной группы, реакция протекает в две стадии:
|
3) возможно также образование биуретовой связи:
|
4) образование трехмерной структуры с участием тиизоцианатов.
Эффективная плотность сшивки в полиуретанах обусловлена преимущественно физическими связями, образующимися в трехмерной сетке вследствие взаимодействия цепей друг с другом.
Интенсивное межмолекулярное взаимодействие в ряде случаев приводит к тому, что линейные полиуретаны, сшитые только физическими связями, проявляют такие свойства, которые характерны лишь для вещества со сшитыми линейными цепями. В то же время пространственной сетке полиуретанов свойственна высокая подвижность - способность к перестройке под влиянием механических воздействий, изменения температуры и растворителей. Полиуретаны даже способны к "самозалечиванию" нарушений сетки, вызванных деформацией. Благодаря этому в процессе деформации в полиуретанах сравнительно быстро устанавливается равновесие и образуется новая структура, отвечающая деформированному состоянию.
По этой же причине полиуретаны отличаются высокой устойчивостью к истиранию [80].
Свойства полиуретановых пленок. Механические свойства свободных полиуретаиовых пленок зависят от состава и молекулярной массы полиуретана. На рис. 61 приведены деформационные кривые для пленок полиуретана с различной молекулярной массой, синтезированного на базе МДИ и сложного эфира адипиновой кислоты (полиадипинатбутандиола). Чем выше молекулярная масса, тем выше прочность. Увеличение содержания диизоцианата оказывает аналогичное влияние на прочность пленки (рис. 62).
Рис. 61. Деформационные кривые пленок полиуретана с различной молекулярной массой:
1 -40 тыс.; 2 -35 тыс.; 3 -15 тыс.; 4 -13 тыс.; 5 -6 тыс.
Рис. 62. Зависимость механических свойств пленки полиуретана от содержания в нем диизоцианата:
1 -20%; 2 -22%; 3 -24%; 4 -26%; 5 -30%; 6 -36%; 7 -40%.
|
Количество отвердителя резко влияет на прочность и эластичность пленки.
На рис. 63 показан ИК -спектр диизоцианата с характерными полосами поглощения при длине волны 3, 3,4 и 4,4 мкм (полосы изоцианата); 5,8-5,9 (колебания карбонильной группы эфирной структуры); 6,2-6,3, 6,5-6,6 (амидная связь).

Рис. 63. ИК -спектр диизоцианата
|
Полоса при длине волны 4,4 мкм соответствует изоцианатным группам и исчезает по мере того, как эти группы блокируются в процессе образования полиуретана. На рис. 64 показано изменение спектра в ходе реакции. ИК -спектры позволяют четко различать, как глубоко прошла реакция и имеется ли избыток изоцианатных групп.
Большинство импортных полиуретановых композиций содержат в качестве добавки нитроцеллюлозный лак. Чистые полиуретаны имеют высокую термостойкость, в то время как введение нитроцеллюлозы снижает ее. Нитроцеллюлоза ускоряет высыхание лака, ее присутствие в полиуретановых композициях легко обнаружить методом ДТА [79].

Рис. 64. Изменение ИК -спектров диизоцианатов в процессе реакции: 1 - исходный продукт; 2 - после блокирования изоцианатных групп
|
Водные дисперсии полиуретанов. В настоящее время в СССР и за рубежом ведутся интенсивные исследования по синтезу и применению для отделки кож водных дисперсий полиуретанов [84], что позволит отказаться от дорогостоящих и токсичных растворителей, исключит взрыво- и пожароопасность производства и загрязнение окружающей среды, улучшит условия труда. В качестве материала для отделки кожи водные дисперсии полиуретанов не уступают их растворам. Известны полиуретановые дисперсии, содержащие эмульгатор и не содержащие его (самоэмульгирующиеся), последние представляют наибольший интерес.
При синтезе полиуретановых дисперсий первого типа сначала получают низкомолекулярный полимер с содержанием 2-5 % свободных групп -NCO в неполярном или малополярном растворителе. Затем следует эмульгирование предполимера в водном растворе эмульгатора при очень интенсивном механическом перемешивании, после чего в водной же фазе осуществляют удлинение цепи. Скорость реакции зависит от основности изоцианатных групп, а также от природы удлинителя цепи. Быстрее всего (гораздо быстрее, чем вода) присоединяются амины. Дозировку всех компонентов ведут строго в стехиометрических соотношениях.
При получении полиуретановых дисперсий второго типа предполимер или макродиизоцианат в сильно полярном растворителе (ацетоне или тетрагидрофуране) переводят в иономер соответствующим удлинением цепи в зависимости от того, каков характер дисперсии - анионный или катионный.
Раствор иономера при перемешивании можно диспергировать в воде без участия эмульгатора. После отгонки растворителя получается молочно-белая дисперсия полиуретан-иономера с содержанием 25-40% сухого вещества и размером частиц 0,1-20 мкм [85].
Одним из примеров получения анионного иономера может служить реакция предполимера с продуктом взаимодействия этилендиамина с ангидридом пиромелитовой кислоты [86]:
|
Реакция протекает в присутствии гидроксида калия, при этом примерно половина карбоксильных групп нейтрализуется.
Катионные иономеры обычно получают с участием в качестве удлинителей цепи диолов или диаминов, содержащих третичный атом азота, который затем переходит в четвертичный. Этот процесс часто называют кватернизацией:
|
Реакция протекает при низких значениях рН. Следует отметить, что в результате кватернизации полимера свойства получаемой из него пленки сильно меняются: прочность при растяжении возрастает в десятки раз, удлинение увеличивается, температурный интервал высокоэластического состояния расширяется. Стабильность дисперсий полиуретан-иономеров обеспечивается, если концентрация ионных центров на 1 г иономера составляет: для катионного - 0,3-0,5 ммоль аммонийных групп, а для анионных - 0,02-0,2 ммоль сульфонатных (или карбоксильных) групп.
Глобулы иономерного полиуретана в воде представляют собой сферические частицы, ядро которых состоит из ассоциатов гидрофобных олигомерных звеньев и на внешней поверхности которых расположены уретановые, мочевинные и ионизированные группы. Таким образом эфирные группы защищены от гидролитической деструкции. Благодаря отсутствию эмульгатора эти частицы менее чувствительны к механическим сдвигам, нагреванию и разбавлению. Анионные дисперсии полиуретанов в отличие от катионных более устойчивы при действии электролитов, имеют хорошую пигментоемкость, хорошо сочетаются с другими дисперсиями и вспомогательными веществами, применяемыми при отделке кож.
Полиуретаны, диспергированные в воде, обладают очень хорошей пленкообразующей способностью. После удаления воды в процессе пленкообразования полиэфируретановые цепочки располагаются весьма упорядочение относительно друг друга и между их ионными группами, помимо водородных связей, возникает электростатическое взаимодействие. В результате образуются весьма прочные, эластичные и устойчивые при действии воды пленки с высокой адгезией к коже.
Из полиуретановых дисперсий можно получить пленки практически любой степени эластичности и твердости [85]. В зависимости от химического состава полиуретана предел прочности при растяжении пленок лежит в интервале от 0,98 до 24,5 МПа, относительное удлинение при разрыве от 600 до 4000%, модуль эластичности (при ? = 100 %) от 0,10 до 0,28 МПа [87].
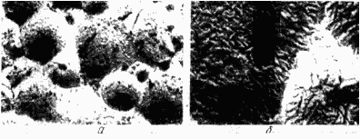
Электронно-микроскопические исследования (с применением кислородного травления) пленок из дисперсии полиуретанов показали, что поверхность их образована плотно прилегающими друг к другу сферическими частицами (рис. 65), а при большем увеличении обнаруживаются типичные для эластомеров линейные структуры с довольно четкими границами раздела.

Рис. 65. Электронная микрофотография пленки из водной дисперсии полиуретана:
а - сферические частицы; б - линейные образования
|
Доказано, что полиуретановые дисперсии с успехом могут применяться в составе как грунтов, так и последующих слоев покрытия, включая закрепляющие.
В табл. 16 и 17 приведены сравнительные характеристики четырех типов полиуретановых дисперсий и их пригодность для отделки кожи [84].
|
Таблица 16. Характеристика дисперсий полиуретанов в зависимости от их типа
| Показатель |
| Полиуретановая дисперсия |
| Катионная |
Анионная |
Анионная |
Слабоанионная, неионогенная |
| I |
II |
III |
IV |
| Диаметр частиц, нм | 15 | 35 | 150 | 35
|
|
| Твердость полимера | Очень мягкий | Мягкий | Мягкий | Твердый
|
|
| Способность проникать в кожу | Очень сильная | Сильная | Малая | Средняя
|
|
|
Таблица 17. Назначение дисперсий
| Стадия применения |
| Дисперсия |
| I |
II |
III |
IV |
| Грунт для кож с плохой всасывающей способностью | + | + | - | -
|
|
| Грунт для кож с высокой всасывающей способностью | - | - | + | -
|
|
| Пигментированный грунт | - | + | + | -
|
|
| Контрастная подцветка | - | + | + | +
|
|
| Водный раствор закрепителя | - | - | + | +
|
|
| Композиции, наносимые распылением | + | + | - | -
|
|
|
Дисперсия I - мягкого полиуретана, катионного типа, рекомендуется в качестве грунта для кож с низкой всасывающей способностью, дисперсия II - для кож с натуральной лицевой поверхностью, обладающих средней всасывающей способностью. Обе они обеспечивают хорошее растекание и высокую адгезию покрытия к коже.
С целью приближения химической природы полиуретанового латекса к коже в полимер вводили аминокислоты - лизин и аргинин, содержащие в боковой цепи карбоксильную группу [87]. Количество аминокислоты зависит от концентрации исходного раствора уретанового компонента. Введение аминокислот сильно повышает вязкость системы, поэтому при высоких (около 35%) концентрациях уретанового компонента максимально можно ввести 2 % аминокислоты от массы макроизоцианата, при 15%-ной концентрации количество вводимой кислоты можно увеличить до 5-7%, однако снижение концентрации макроизоцианата приводит к резкому ухудшению качества пленок, получаемых из такого латекса.
В процессе синтеза использовали раствор аминокислоты в эмульгаторе (сульфоноле НП-1) с рН=10. Латексом, модифицированным аминокислотой, частично или полностью заменяли типовые пленкообразующие вещества в покрытии для кожи. Этот латекс хорошо совмещается с другими компонентами покрывных красок [88]. Введение аминокислоты в полимер повышает его гидрофильность, паропроницаемость получаемых из него пленок возрастает (табл. 18).
|
Таблица 18. Влияние аминокислот на свойства полиуретанового покрытия
| Основной пленкообразователь в покрытии |
Паропроницаемость, мг (см2•ч) |
Устойчивость, покрытия к мокрому трению, обороты |
| свободной пленки |
отделанной кожи |
| Полиуретановый латекс | | |
|
|
| модифицированный | 1,43 | 2,46 | 40
|
|
| немодифицированный | 0,45 | 0,77 | 17
|
|
| Акриловая эмульсия | 0,56 | 0,81 | 40
|
|
|
На образцах шлифованного полуфабриката проводили покрывное крашение по четырем вариантам: 1) покрытие на основе типовых пленкообразователей, 2) покрытие на основе модифицированного полиуретана, 3) покрытие с частичной заменой полиакрилатов модифицированным полиуретаном и 4) покрытие с применением немодифицированного полиуретана [89]. Покрытия на основе модифицированного полиуретана обладают лучшими гигиеническими свойствами (табл. 19).
|
Таблица 19. Характеристика покрытий
| Элемент характеристики |
| Вариант отделки |
| 1 |
2 |
3 |
4 |
| Блеск на приборе ФБ-2, % | 35 | 35 | 35 | 15
|
|
| Маркость на приборе П-4, баллы | | | |
|
|
| в мокром состоянии | 3 | 3 | 3 | 2
|
|
| в сухом " | 4 | 5 | 4 | 3
|
|
| Устойчивость к истиранию в мокром состоянии, обороты | 40 | 40 | 40 | 25
|
|
| Устойчивость к многократному изгибу, баллы | 2 | 4 | 3 | 2
|
|
| Паропроницаемость, % | 26,7 | 47,9 | 29,5 | 25,4 |
|
|
В МТИЛПе исследована отечественная полиуретановая дисперсия марки 1002-ЗФ (ТУ 6-05-221-520-80) в качестве исходного компонента для грунтов, покрывных красок и закрепителей. Катионный характер этой дисперсии исключает совместное применение анионных ПАВ и щелочного раствора казеина, поэтому для приготовления пенетратора использовали неионогенное ПАВ и изопропиловый спирт. Отсутствие казеина, как показали опыты, не привело к ухудшению свойств покрытия на коже. На основе указанной дисперсии были составлены грунты с применением различных ПАВ и определены их характеристики (табл. 20).
|
Таблица20. Характеристики грунтов на основе полиуретановой дисперсии
| ПАВ |
| Смачивающая способность грунта |
Впитывающая способность |
| Краевой угол смачивания, град |
Поверхностное натяжение, Н/м |
Продолжительность впитывания, С |
Диаметр пятна, см |
| Синтанол ДС-10 | 32 | 34,7 | 2,6 | 1,3
|
|
| Превоцелл | 35 | 35,0 | 3,0 | 1,3
|
|
| Сопаль | 37 | 35,5 | 3,4 | 1,2
|
|
| ОП-7 | 40 | 35,5 | 3,8 | 1,1
|
|
| ОС-20 | 45 | 36,3 | 4,8 | 0,9 |
|
|
Скорость впитывания грунтов всех вариантов удовлетворяет нормам (3-5 с).
С помощью полного факторного эксперимента изучено влияние состава и температуры подсушки после грунтования на свойства покрытия.
Адекватные уравнения получены для показателей адгезии покрытия в сухом (Y1) и мокром состоянии (Y2) и в безразмерной форме имеют следующий вид:
|
где X1 - содержание в грунте полимера; Х2 - содержание пенетратора; Хз - температура сушки.
Эти уравнения показывают, что адгезия покрытия зависит в первую очередь от содержания полиуретана в грунте и температуры сушки.
Абсолютные значения показателя адгезии были достаточно высокими: в сухом состоянии 4-8, в мокром 2-3,6 Н/см.
Таким образом, полиуретановый грунт обеспечивает на шлифованных кожах высокую адгезию покрытия, составленного на базе типовой методики.
Изучена также возможность отделки кожи композициями только на основе полиуретановой дисперсии 1002-ЗФ (компактная отделка). Последовательность нанесения и расход покрывных композиций соответствовали методике производства эластичных кож. В качестве контрольного варианта применяли отделку дисперсией полиакрилатов по стандартной методике. О преимуществах полиуретановых композиций можно судить по данным табл. 21.
|
Таблица20. Характеристики грунтов на основе полиуретановой дисперсии
| Показатель |
| Покрытие |
| на основе полиуретановой дисперсии |
по типовой методике |
| Адгезия, Н/см | |
|
|
| в сухом состоянии | 7,1 | 5,1
|
|
| в мокром " | 2,4 | 1,9
|
|
| Паропропицаемость, мг/(см2•ч) | 3,4 | 2,0
|
|
| Масса покрытия, мг/дм2 | 187 | 184
|
|
| Устойчивость к многократному изгибу, баллы | 4 | 4 |
|
|
Покрытие на коже, составленное на основе отечественной полиуретановой дисперсии марки 1002-ЗФ, по своим свойствам не уступает покрытиям по типовой методике, а по такому показателю, как адгезия, значительно превосходит их. Высокую адгезию полиуретанов к коже можно объяснить сродством уретановых и мочевинных групп полиуретана к функциональным группам кожи.
Если к закрепителю добавить формалин (5 % СН2О от массы полиуретана), то термостойкость покрытия достигает 120 0C [90, 91].
Преимущества водных дисперсий полиуретанов по сравнению с их растворами очевидны: замена органических растворителей водой снижает стоимость покрытия, решает проблемы экологии и охраны труда.
Полиуретановый лак. Согласно методике, разработанной в ЦНИИКПе, двухкомпонентный полиуретановый лак для кожи готовится на базе толуилендиизоцианата, в качестве гидроксилсодержащего компонента используется касторовое масло. Глицериды рицинолевой кислоты, составляющие касторовое масло, содержат вторичную гидроксильную группу, которая реагирует с изоцианатной группой с образованием структурированного продукта:
|
По мере структурирования вязкость лака возрастает. Расположение оксигрупп в триглицериде позволяет получить полиуретан с менее плотной пространственной структурой.
В реакции с изоцианатными группами принимает участие также и влага, содержащаяся в касторовом масле и в воздухе, при этом возможно образование мочевинных групп.
Как показали работы ЦНИИКПа, скорость вызревания лака и скорость образования пленки полиуретанового лака увеличивается в присутствии нитрата кобальта Со(NО3)2, при этом прочность пленки возрастает, липкость снижается, покрытие получается с высоким блеском.
При введении в состав лака в качестве катализатора нитрата кобальта и силиконовой жидкости КАВ-1 процесс формирования лакового покрытия на коже ускоряется в 2-2,5 раза и повышается качество лакового покрытия.
Введение в лак в качестве катализатора триэтаноламина (1,5-2,5% от массы касторового масла) сокращает скорость образования пленки в 4-5 раз, соответственно уменьшая и продолжительность сушки. Весьма положительно на качество лака влияет предварительная обработка касторового масла при температуре 170°С в присутствии глицерина, в результате чего кислотное и гидроксильное число касторового масла снижается. Лак, полученный на его основе, дает ровную блестящую пленку без сыпи.
Практически для получения лакового покрытия заранее готовят два раствора. В первый входят циклогексан, касторовое масло, пластификатор и 1 %-ный раствор нитрата натрия также в циклогексаноне, второй представляет собой раствор толуилендиизоцианата, полиизоцианата в циклогексаноне с добавлением одной капли силиконовой жидкости. Затем второй раствор при непрерывном перемешивании вливают в первый, полученный лак фильтруют через частое сито и сразу же используют для нанесения на подготовленный полуфабрикат на поливочной машине. Жизнеспособность лака при комнатной температуре 8 ч.
Если лакирование производят вручную, то лак в течение 1-2 ч выдерживают при температуре 35-40 °С с целью увеличения вязкости до 10-12 с (по вискозиметру ФЭ-36), а затем уже наносят на полуфабрикат. Соотношение изоцианатных и гидроксильных групп рицинолевых радикалов лежит в пределах 1-1,3. При таком соотношении образуется частично структурированный полимер, из которого получаются эластичные пленки, способные к быстрой релаксации напряжений при механических воздействиях. Кроме того, при указанном соотношении снижается роль побочных реакций диизоцианата [74].
Одним из неприятных следствий побочных реакций является выделение углекислого газа, особенно в процессе сушки лакового покрытия, что приводит к его дефекту - появлению мелких пузырьков (сыпи).
Введение пластификатора позволяет снизить поверхностное натяжение раствора полиуретанового лака и тем самым облегчить диффузию углекислого газа в процессе пленкообразования, т. е. пузырьки газа удаляются раньше, чем образуется пленка. При использовании лака приведенного выше состава благодаря присутствию катализатора происходит сравнительно быстрое формирование пленки, а длительность сушки сокращается в 2-2,5 раза. Этот лак применим для кож с естественной и искусственной лицевой поверхностью после специального грунтования.
Полиуретановое лаковое покрытие имеет весьма высокую устойчивость к многократному изгибу, достаточную адгезию к коже в сухом и мокром состоянии, обладает высоким блеском.
Предложена более быстрая методика приготовления лака на основе полиэфира П-Э-14 и толуилендиизоцианата. Реакция между ними протекает в среде циклогексанона. По достижении необходимой вязкости лак наносят на кожу. Продукт реакции уже не содержит свободных изоцианатных групп; следовательно, такой лак является однокомпонентным, что значительно облегчает его применение.
В КТИЛПе [92] синтезирован полиуретан на базе смешанных полиоксипропиленгликолей (диол : триол = 5 : 2) с молекулярной массой 1000-4000 и толуилендиизоцианата при соотношении групп NCO:OH = 2,55. Полученный продукт имеет относительную молекулярную массу 15-20 тыс. и содержит 6-6,5 % свободных изоцианатных групп. Раствор такого полиуретана в ацетоне вязкостью 0,25-0,35 Па o с рекомендуется в качестве грунтующего для лакируемой кожи. На поверхность кожи он наносится двукратно с промежуточной подсушкой при температуре 30 °С в течение 20 мин и окончательной - при температуре 40 °С в течение 30 мин. При таком режиме грунт еще не полностью отвержден и последующий лаковый слой имеет к нему высокую адгезию, обусловленную возникновением химических связей с участием изоцианатных групп.
Характерно, что паропроницаемость кожи в результате такого грунтования изменяется незначительно - с 6,4 до 4,6 мг/(см2•ч). Высокая молекулярная масса полиуретана предотвращает глубокое проникание его в структуру кожи, что способствует получению более мягкой кожи.
Чтобы получить лаковое покрытие, этот же полиэфируретан вязкостью 3-6 Па •с (без растворителя) наносится на загрунтованную кожу тонким слоем. Отверждение полимера и формирование пленки происходит в результате контакта с влагой воздуха в течение 30-36 ч при температуре 20-25 °С в присутствии паров аммиака или формальдегида, способных к взаимодействию с изоцианатными группами; длительность отверждения сокращается до 7-10 ч.
Процесс отверждения лакового покрытия на коже завершается обработкой при температуре 45-50 °С и относительной влажности воздуха 80-85 % в течение 2-3 ч. Пленка грунта и лака получается прозрачной с легким желтоватым оттенком.
Наиболее высокую паропроницаемость - 2,5 мг/(см2•ч) и лучший внешний вид имеют кожи с тонкой (около 100 мкм) лаковой пленкой. Они выдерживают 45 тыс. изгибов (на приборе УкрНИИКПа), причем покрытие обладает достаточной морозостойкостью [82].
|
|
|