/ Отделка кож / Глава 6 / Полимеризацинные пленкообразователи
|
|
|
Основная характеристика. Преобладающее значение в отделке кож имеют полимеризационные (эмульсионные) пленкообразователи - полиакрилаты, представляющие собой полимеры на базе эфиров акриловой и метакриловой кислоты.
Полиакрилаты обладают целым рядом достоинств: хорошо связывают пигменты, совместимы с другими смолами, образуют весьма эластичные водо- и светостойкие пленки с высокой адгезией к коже.
Однако, термопластичность полиакрилатов ограничивает их термостойкость как в нижней, так и в верхней области температур и вызывает необходимость модифицирования полиакрилатов или сочетания их с более термоустойчивыми полимерами, в том числе и с природными.
Полиакрилаты, используемые в кожевенной промышленности, получают методом эмульсионной полимеризации с применением инициирующих систем. В качестве эмульгаторов могут служить анионные, катионные и неионогенные ПАВ. Степень дисперсности зависит от типа эмульгатора и режима полимеризации.
|
Таблица 9. Характеристики дисперсий полиакрилатов и полученных из них пленок в зависимости от спиртового радикала
| Показатель |
Дисперсия |
| полиметилакрилата |
полиэтилакрилата |
полибутилакрилата |
| рН |
6,9 |
5,0 |
5,2
|
|
| Кислотное число |
- |
7,5 |
3,4
|
|
| Вязкость относительная |
11,8 |
11,6 |
11,4
|
|
| Липкость пленки |
Нелипкая |
Липкая |
Пленки не образует, самостоятельно пригоденлишь для грунтования
|
|
| Мягкость или твердость |
Твердая |
Мягкая |
|
| Морозостойкость, °С |
+5 |
-25 |
|
| Влагоемкость 24-часовая, % |
36 |
26 |
|
| Предел прочности при растяжении, МПа |
6,7 |
0,67 |
|
| Удлинение при разрыве, % |
232 |
1600 |
|
|
Примечание. Дисперсии не содержали свободных мономеров и акриловой кислоты.
Свойства полиакрилатов как пленкообразователей существенно варьируют в зависимости от эфирного радикала R, входящего в состав мономера, присутствия в полимере свободных неэтерифицированных карбоксильных групп и свободной акриловой кислоты.
В табл. 9 приведены показатели некоторых свойств дисперсий полиакрилатов и полученных из них пленок в зависимости от того, чем этерифицирована акриловая кислота.
Из табл. 9 следует, что полиметилакрилат образует относительно твердые и малоэластичные пленки, с низкой морозостойкостью, способные к набуханию в воде. Полиэтилакрилат по сравнению с полиметилакрилатом дает более мягкие и более эластичные пленки с хорошей морозостойкостью, но менее прочные. Полимер бутилакрилата самостоятельно пленки не образует. Поэтому, как правило, его применяют в сочетании с другими исходными мономерами с целью придания пленке мягкости и повышения ее морозостойкости.
Чем длиннее спиртовой радикал R, тем ниже температура перехода полимера из стеклообразного состояния в высокоэластическое (температура стеклования) и тем мягче последний. Более длинные боковые цепочки выполняют как бы функцию пластификатора. В то же время при одинаковом R температура стеклования для акрилатов на 80-90 °С ниже, чем для соответствующих метакрилатов (рис. 55). Это можно объяснить меньшей подвижностью аметильных групп метакрилатов.

Рис. 55. Зависимость температуры стеклования от длины спиртового
радикала полиакрилата (1) и полиметилакрилата (2)
|
В состав полиакрилатов часто входят неэтерифицированные карбоксильные группы акриловой кислоты. С увеличением их числа снижаются рН дисперсии, морозостойкость и тягучесть пленок, растет кислотное число дисперсии, ее вязкость не меняется, но увеличивается прочность пленок. Карбоксильные группы повышают гидрофильность пленки, однако на влагоемкость ее в большей степени влияет характер эмульгатора.
Полимеры на базе эфиров метакриловой кислоты образуют более твердые и менее гидрофильные пленки, чем соответствующие полиэфиры акриловой кислоты.
Сополимеризация акриловых эфиров с такими мономерами, как акрилонитрил, акриламид, бутадиен, стирол, приводит к заметному изменению свойств получаемых пленок. Акрилонитрил, например, придает пленке твердость, снижает тягучесть, не изменяя морозостойкости. При небольших добавках прочность, блеск и устойчивость пленки к трению заметно возрастают. Сополимеры, содержащие метакриламид, дают покрытия с высокой механической прочностью и водостойкостью.
|
Т а блица 10. ИК -характеристики сополимеров акрилатов
| Длина волны, мкм |
Волновое число, см -1 |
Характеризуемая группа или связь |
| 3,4-3,5 |
2941-2857 |
Эфирные группы
|
|
| 5,7-5,8 |
1754-1724 |
Карбонильная группа эфирной связи
|
|
| 6,9-7,0 |
1449-1429 |
Специфичная для акрилонитрила
|
|
| 7,9-8,0 |
1266-1250 |
Небольшая полоса групп С-О-С
|
|
| 8,5-8,6 |
1177-1163 |
Широкая полоса групп С-О-С |
|
| Различные свойства, придаваемые полимеру и соответственно пленке каждым из мономеров, позволяют подобрать нужную комбинацию, обеспечивающую необходимые свойства пленки. Для смещения нижнего температурного предела перехода в стеклообразное состояние используют "внутреннюю" пластификацию, т. е. вводят "мягкий" сополимер, прочно фиксирующийся в структуре полимера. Из изложенного выше явствует, что полимерные продукты, удовлетворяющие требованиям отделочных материалов для кожи, как правило, представляют собой сополимеры нескольких мономеров. ИК -спектры позволяют в определенной степени охарактеризовать их состав. Для акрилатов наблюдаются характерные полосы поглощения, приведенные в табл. 10.
Для метильной группы характерны полосы при длине волны 8,35, 8,60 и 12,1 мкм, для бутильной - при 9,3-9,4, 10,4, 10,6, 11,9 мкм.
Если в полиакрилате содержится свободная карбоксильная группа, то в области длин волн 3-4 мкм появляется широкая полоса поглощения (рис. 56). Содержание полиакриламида обнаруживается по интенсивным полосам поглощения в области длин волн 2,9-3, 6-6,1 и 8,9-9 мкм. Введение акрилонитрила четко заметно по острой полосе при длине волн 4,4-4,5 мкм (колебания группы -C = N).

Рис. 56. ИК -спектры полиакриловой кислоты (1) и
частично этерифицированной полиакриловой кислоты (2)
|
ИК -спектры позволяют частично расшифровать пленкообразователи неизвестного состава. Для той же цели применяют также дифференциальнотермический анализ (ДТА), который четко показывает присутствие различных компонентов. Методом деструкции можно установить ассортимент мономеров, входящих в пленкообразователь.
Структурирование полиакрилатов и их сополимеров. Переход полимера из высокоэластического состояния в вязкотекучее во многом зависит от его молекулярной массы: чем она выше, тем более затруднено взаимное перемещение смежных молекул относительно друг друга и тем больше вероятность возникновения точек соприкосновения между ними, т. е. образования квази -сшивок. Сшивки могут быть образованы за счет водородных связей полярных групп, например карбоксильных или нитрильных.
Чтобы придать пленкообразователю достаточную водо- и термостойкость, высокую усталостную прочность, эластичность в широком интервале температур и ряд других положительных свойств, в структуру полимера сознательно вводят функциональные группы, способные образовывать сшивки, причем сшивки должны возникать в основном тогда, когда пленка уже сформировалась.
Структурирующими агентами служат мономеры, функциональные группы которых при повышении температуры или же под влиянием катализаторов реагируют между собой или же с другими функциональными группами. Например, полимеры, в состав которых входит метилолакриламид при температуре 120-140 °С, а также при понижении рН способны к образованию сшивок по схеме

|
Появившиеся в последнее время так называемые реактивные биндеры представляют собой дисперсии полимеров (пленкообразователей), содержащих в своем составе активные группы, способные к образованию поперечных сшивок, т. е. к самосшиванию.
Кроме самосшивающихся применяют реактивные полимеры, структурирующиеся под влиянием специально добавляемых реагентов, т. е. двухкомпонентные системы. Карбоксилсодержащие полимеры можно сшивать: многофункциональными полиэпоксидами, N-метилольными соединениями или их эфирами, соединениями хрома.
Термостойкость покрытия на основе карбоксилсодержащего сополимера МБМ-3 в результате сшивания водорастворимой эпоксидной смолой возрастает на 5°, а полиэтиленполиамидом - на 7 °С.
Весьма эффективное повышение термостойкости покрытия (с 95 до 215 °С) достигается при взаимодействии МБМ-3 с основным метакрилатхлоридом хрома -воланом-702.

|
Структурирующее действие волана-702 объясняется образованием гетерополярной связи в результате обменной реакции, кроме того, способностью остатка метакриловой кислоты к полимеризации в процессе горячего прессования кожи, приводящей к увеличению степени структурирования сополимера.
Оптимальное соотношение в полимере групп Сг : СООН лежит в пределах 0,5-0,6. Более высокая дозировка приводит к снижению эластичности покрытия и возрастанию влагоемкости пленок. Чтобы предохранить дисперсию от коагуляции под влиянием структурирующего агента, необходимо снизить ее концентрацию примерно вдвое, поверхностное натяжение довести до (41-44) мН/м и рН до 10,5-11. Волан-702 также вводят в дисперсию в виде разбавленного 3,5%-ного раствора.
При структурировании пленкообразователей для отделки кожи необходимо соблюдать следующие условия:
активные группы как основного полимера, так и сшивающей добавки не должны взаимодействовать с водой;
сшивание должно осуществляться после нанесения покрытия на поверхность кожи и протекать при комнатной температуре;
свойства пленки не должны изменяться во времени.
Этим условиям в значительной мере удовлетворяют смешанные сополимеры акрилатов, содержащие ацетоацетатные группы:

|
Ацетоацетатную группу в сополимер можно ввести также посредством оксиалкилэфиров акриловой (или метакриловой) кислоты, которые при взаимодействии с дикетеном могут дать мономер с ацетоацетатной группой

|
Такие мономеры легко вступают в реакцию сополимеризации. Сополимер, содержащий ацетоацетатные боковые цепочки, под действием формальдегида сшивается по схеме:

|
Щелочи катализируют эту реакцию.
Кроме формальдегида, структурирующим агентом могут служить гексаметилендиамины и другие диамины. Однако гексаметилендиамин при комнатной температуре действует очень медленно.
Следует отметить, что степень структурирования полимера - пленкообразователя обусловливает очень многие свойства покрытия и должна быть строго оптимальной.
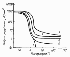
Эластичность, устойчивость к сухому и мокрому трению, к многократному изгибу, механическим нагрузкам - все эти показатели зависят от степени структурирования. Рис. 57 иллюстрирует изменения модуля в зависимости от температуры в результате введения возрастающего количества метилолметакриламида в полиэтилакрилат. Модуль и предел прочности при растяжении возрастают, если увеличивается степень сшивания.

Рис. 57. Зависимость от температуры модуля упругости
пленки полиэтилакрилата с различным количеством сшивающего агента:
1 - 0,5%; 2 - 1%; 3 - 2%; 4 - 5%;5 - 8%
|
Сопоставляя все показатели, можно определить оптимальный уровень структурирования, который зависит как от характера основного полимера, так и от типа сшивающего агента. Для сохранения необходимой эластичности покрытия, количество вводимых в полимер функциональных групп, способных к структурированию, не превышает 3-5 % от массы сополимера.
Структурирование повышает устойчивость покрытия к органическим растворителям и даже к химической чистке.
Окрашенные пленкообразующие дисперсии. Окрашенные дисперсии (цветные пленкообразователи) получаются двумя путями:
1) смешением высокомолекулярных соединений, содержащих химически активные группы, с такими красителями

|
В этой схеме А обозначает реакционноспособную группу полимера, а Б - активную группу красителя.
Такое взаимодействие может происходить до и после нанесения покрытия на кожу. В качестве активных групп могут фигурировать

|
По этому принципу разрабатываются окрашенные дисперсии в ЦНИИКП. Лучшими свойствами обладают пленки окрашенных дисперсий на базе амидсодержащей эмульсии МБА-5. Амидсодержащие сополимеры окрашиваются интенсивнее, чем карбоксилсодержащие. Последние могут активно фиксировать хромсодержащие [75] или другие красители с участием хрома в качестве протравы. Поскольку большинство красителей имеют ионогенный характер и могут вызывать коагуляцию акриловых дисперсий, то перед окрашиванием их необходимо стабилизировать, добавляя ПАВ или пенетраторы;
2) сополимеризацией красителей, в составе которых имеются группы, способные к полимеризации, с бесцветными мономерами пленкообразователей (акриловой кислотой, ее эфирами, акриламидом или акрилнитрилом) по такой схеме:

|
Для достижения удовлетворительной интенсивности окраски полученный сополимер должен содержать 10 % цветных мономеров. Водные дисперсии различных окрашенных полимеров на базе одного и того же связующего можно смешать и получить неограниченное количество оттенков.
Ниже приводятся формулы красителей, способных к сополимеризации.
При получении окрашенных дисперсий используют мономеры с функциональными группами (акриловая кислота, метилолакриламид), способные к последующему структурированию. Цвет пленки из окрашенного сополимера весьма устойчив, так как краситель прочно связан и не может мигрировать в кожу. Окрашенные пленкообразователи весьма подходят для анилиновой отделки.
Дисперсии, используемые при отделке кож. В кожевенной промышленности сейчас широко применяются отечественные дисперсии полиакрилатов и их сополимеров. Разработка и внедрение их является заслугой В. И. Елисеевой.
Акриловая эмульсия А представляет собой водную дисперсию полиметилакрилата с невысокой степенью полимеризации (n ? 200), диаметр частиц 0,15-0,23 мкм. Благодаря высокой степени дисперсности ее можно отнести к типу пропитывающих. Самостоятельно эмульсия А не применяется, так как из-за высокой твердости образует хрупкую пленку, и используется при составлении пропитывающих грунтов.
Акриловая эмульсия № 1 - водная дисперсия полиметилакрилата, пластифицированного в процессе полимеризации небольшим количеством дибутилфталата. Степень полимеризации около 400, размер частиц 0,3 мкм. Она обладает хорошей пленкообразующей способностью, пленка отличается высокой адгезией, устойчива к истиранию на мокрой коже, но термопластична.
Дисперсия МБМ-3 - водная дисперсия сополимера метилакрилата, бутилакрилата и метакриловой кислоты в количестве 3 % от массы остальных мономеров. Пленкообразующая способность этой дисперсии зависит от степени полимеризации. Высокомолекулярный сополимер обладает хорошей пленкообразующей способностью. Присутствующие в нем карбоксильные группы метакриловой кислоты выполняют функцию структурирующего агента (возникает водородная связь), благодаря чему повышается термостойкость пленки. МБМ-3 рекомендуется как один из компонентов для средних слоев покрытия шлифованных кож в сочетании с эмульсией № 1 и дисперсией МХ-30. Известны также дисперсии МБМ-10, МБМ-15 и МБМ-20, в которых цифры соответствуют количеству метакриловой кислоты. Однако повышенное ее содержание приводит к получению жесткой пленки. Низкомолекулярный сополимер используют в составе пропитывающих грунтов. Степень полимеризации характеризуется по вязкости (например, если при диаметре сопла 4 мм вязкость менее 4, то степень полимеризации низкая).

|
Таблица 11. Влияние состава сополимера на свойства пленок и покрытий на его основе
| Состав, маc. ч |
Свободные пленки |
Покрытия |
| Бутилакрилат |
Метилакрилат |
Метакриловая кислота |
Амид метакриловой кислоты |
Нитрил акриловой кислоты |
Удлинение, % |
Предел прочности при растяжении, Н/мм2 |
Модуль эластичности при Е=100 %. Н/мм2 |
Термостойкость,° С |
Устойчивость к многократному изгибу, тыс. |
Устойчивость к мокрому трению, об. |
Морозостойкость, баллы
|
| 35 |
65 |
- |
- |
- |
более2000 |
0,34 |
0,17 |
75 |
3,7 |
180 |
4
|
|
| 35 |
65 |
3 |
- |
- |
1400 |
1,58 |
0,18 |
85 |
4 |
190 |
4
|
|
| 35 |
65 |
5 |
- |
- |
1500 |
2,09 |
0,2 |
100 |
3 |
1000 |
1
|
|
| 35 |
65 |
10 |
- |
- |
1100 |
2,81 |
0,36 |
110 |
2 |
320 |
2
|
|
| 35 |
65 |
- |
3 |
- |
1200 |
3,23 |
0,34 |
80 |
2,5 |
200 |
4
|
|
| 35 |
65 |
- |
5 |
- |
1100 |
4,93 |
0,65 |
90 |
4,2 |
230 |
5
|
|
| 35 |
65 |
- |
- |
3 |
1850 |
2,28 |
0,28 |
80 |
2,7 |
330 |
4
|
|
| 35 |
65 |
- |
- |
7 |
1170 |
2,53 |
0,3 |
95 |
3,3 |
320 |
3
|
|
| 35 |
65 |
- |
- |
10 |
1050 |
3,45 |
0,35 |
90 |
3 |
200 |
4 |
|
|
Небольшие добавки некоторых сомономеров к основным заметно влияют на свойства пленок и покрытий (табл. 11).
Из табл. 11 видно, что увеличение содержания полярного мономера в сополимере приводит к повышению прочности и модуля эластичности свободных пленок, термостойкости покрытия и уменьшению относительного удлинения пленок. Наилучший эффект дает введение амида метакриловой кислоты [74].
Акриловая эмульсия БМ является сополимером бутилакрилата (БА), бутилметакрилата (БМА) и метакриловой кислоты (МАК). Первые два мономера придают пленке мягкость и повышают ее морозостойкость, метакриловая кислота компенсирует излишнюю мягкость и в то же время обусловливает возникновение водородных связей, упрочняющих пленку. Эти эмульсии рекомендуется применять только в сочетании с другими.
На основе акриловых мономеров в соотношении МА : БМА : МАК = 70 : 30 : 5 синтезирована эмульсия № 123, которая в смеси с пенетратором ПН-ЭС представляет собой хороший пропитывающий грунт с высоким "пришивающим" эффектом [76].
Акриловая эмульсия МБА-2 отличается от эмульсии МБМ-3 наличием в сополимере кроме 2 % карбоксильных групп еще 5 % амидных групп. Аналогичными являются эмульсии МБА-5 состава МА : БА : амид метакриловой кислоты = 60:35:5 [77].
Введение амида расширяет температурный интервал эластичности пленок на основе сополимеров, которые используются в составе средних слоев покрытия для повышения термостойкости и устойчивости к горячему прессованию.
Амидсодержащая эмульсия МБА-5 образует довольно жесткие пленки с повышенным модулем эластичности, поэтому покрытия на ее основе обладают высокой термостойкостью. Кожи, отделанные с применением эмульсии МБА-5, отличаются красивым внешним видом и хорошим грифом [74].
Акриловая эмульсия БНК-3 - дисперсия сополимера этилакрилата, бутилметакрилата, акрилонитрила и метакриловой кислоты, взятых в соотношении 75:5:17:3.
Эмульсия Т-22 - дисперсия сополимера бутилакрилата, стирола, метилолметакриламида и метакриловой кислоты, взятых в соотношении 81:9:4:6. Эмульсии БНК-3 и Т-22 являются основой для эмульсионных красок, получаемых диспергированием пигментов в подщелаченной смеси эмульсий. Соотношение пигмента и пленкообразователей равно 1 :2,2. При разбавлении водой из эмульсионных красок получают непосредственно рабочие растворы, при этом отпадает необходимость в пигментных концентратах [78].
Дисперсия МХ-30 - продукт эмульсионной сополимеризации 70 % хлоропрена и 30 % метилметакрилата, характеризуемый высокой пропитывающей и пленкообразующей способностью. Покрытия на основе МХ-30 обладают достаточной морозостойкостью, однако склонны к пожелтению, поэтому для отделки белых кож их применять не следует.
Латекс ДММА-65-1-ГП - продукт глубокой сополимеризации дивинила, метилметакрилата и метакриловой кислоты, обладающий хорошей пленкообразующей способностью, мало проникающий в кожу и образующий мягкие морозостойкие пленки. Латекс ДММА-65-1-ГП используется в составе непигментированных грунтов (при условии добавления пенетратора), а в пигментированные грунты входит самостоятельно или в комбинации с МХ-30. Применяется также и для средних слоев покрытия.
|
Таблица 13. Характеристика дисперсий и покрытий на основе сополимеров этилакрилата
| Показатель |
ЭБК-3 |
ЭБК-5 |
| рН дисперсии |
2,7 |
2,9
|
|
| Содержание сухого остатка, % |
40 |
40
|
|
| Удельная вязкость по ДМФ |
3,9 |
5,7
|
|
| Поверхностное натяжение, Н/м |
49,0•10-3 |
45,5•10-3
|
|
| Размер частиц, Нм |
86,7 |
70,3
|
|
| Термостойкость покрытия на основе этих дисперсий, °С |
|
|
|
| без структурирующего агента |
115-130 |
-
|
|
| со структурирующим агентом |
- |
150-200 |
|
|
Грунт № 6 представляет собой дисперсию сополимера этилакрилата и метакриловой кислоты (85:15) с пенетратором ПН-ЭОП. Содержание сухого остатка в таком грунте равно 10%. При нанесении на шлифованный полуфабрикат грунт № 6 впитывается мгновенно [76].
|
|
|