/ Отделка кож / Глава 4 / Додубливание органическими соединениями
|
|
|
Наибольшее распространение в промышленности в качестве додубливающих и наполняющих кожу материалов нашли такие органические соединения, как растительные и синтетические дубители, синтетические полимеры, глутаровый альдегид и др.
1. Додубливание растительными и синтетическими дубителями
В настоящее время растительные и синтетические дубители являются наиболее распространенными средствами додубливания кож хромового дубления для верха обуви.
Додубливание этими дубителями улучшает шлифуемость лицевой поверхности кожи, несколько повышает ее полноту, но не избирательно. По сравнению с растительными синтетические дубители обладают меньшей вяжущей способностью, поэтому их отрицательное влияние на свойства кож меньше. Однако синтетические дубители придают коже меньшую полноту, плотность и шлифуемость, чем растительные. Вместе с тем с увеличением расхода таннидов при додубливании кожа хромового дубления приобретает свойства кож таннидного дубления (твердость и жесткость на ощупь), рисунок мереи становится грубее, снижаются предел прочности при растяжении и удлинение.
По степени сохранения специфических свойств кожи хромового дубления додубливающие материалы можно расположить в таком порядке [40]: хромовые дубители > глутаровый альдегид, аминосмолы > синтетические дубители > растительные дубители.
Ценным качеством растительных дубителей как додубливающих материалов является их способность фиксировать рисунок на лицевой поверхности кожи после тиснения и разбивки в барабане, что особенно важно при выработке специальных видов кож.
На практике для додубливания, как правило, используется комбинация растительных и синтетических дубителей в различных соотношениях. Эти соотношения зависят от вида сырья и назначения кож.
Нейтрализация полуфабриката при додубливании в значительной мере влияет на эффект наполнения лицевой поверхности кож. Это обусловлено тем, что в зависимости от степени нейтрализации изменяется заряд структурных элементов поверхности кожи, а это в свою очередь сказывается на глубине проникания анионных дубителей. Например, недостаточная нейтрализация ведет к поверхностному отложению таннидов и синтанов в результате того, что поверхность кожи имеет более выраженный положительный заряд.
Лучший наполняющий эффект достигается при додубливании растительными и синтетическими дубителями полуфабриката, нейтрализованного формиатом кальция или натрия. В этом случае рН по всему поперечному срезу кожи относительно равномерный (4-5), тогда как при нейтрализации бикарбонатом натрия рН наружных слоев полуфабриката значительно выше, чем рН внутренних.
Рекомендуется также использовать для нейтрализации некоторые синтетические дубители. По существу в этом случае происходит не нейтрализация, а удаление свободной и связанной с белком кислоты в результате взаимодействия дубителей с функциональными группами коллагена и с кислотой.
Аналогичный эффект оказывает ДДА -смола (дубитель ДДАМ-2-с), позволяющая проводить красильно-жировальные процессы без нейтрализации.
Додубливание растительными и синтетическими дубителями выполняют в процессе нейтрализации, после нейтрализации перед крашением или после него, а иногда после жирования или одновременно с одним из указанных процессов. Иногда додубливание ведут в две стадии: сначала при нейтрализации полуфабриката, что служит предварительной подготовкой к последующему додубливанию. На первой стадии додубливания синтетический дубитель уменьшает катионный заряд кожи и облегчает проникание таннидов на второй стадии. Температура при додубливании не должна превышать 45 °С; оптимальной является температура 35-40 °С, потому что, как показывают эксперименты, наиболее сильное снижение прочности лицевого слоя кожи происходит в случае обработки полуфабриката дубителями при температуре эмульсионного жирования. рН жидкости при додубливании рекомендуется поддерживать в пределах 6,5-7.
Расход дубителей зависит от развеса сырья, степени полноты полуфабриката, метода сушки и т. д. Так, для полуфабриката из шкур крупного рогатого скота тяжелых развесов рекомендуемый расход дубителей составляет 5-6 % в пересчете на дубящие.
Из растительных дубителей, которые наиболее широко применяются для додубливания кож хромового дубления, следует назвать танниды ивы, мимозы, квебрахо, каштана и сульфитированные экстракты квебрахо, каштана. Из отечественных синтетических дубителей хорошим наполняющим эффектом обладают дубители № 2, БНС, СПС.
Лучшими зарубежными синтетическими дубителями, синтезированными на основе продуктов конденсации фенолов, а также диоксидифенилсульфона, являются таниганы, басинтаны, селлазолы, иргатаны (Швейцария), роматан (Румыния), скитан (ГДР) и др.
По одной из отечественных методик жирование и додубливание ведут при температуре 60-65 °С и ж.к. = 2. Через 15 мин после начала жирования в барабан заливают 0,5 % водного раствора аммиака от массы кож, затем загружают в сухом виде дубители (СПС, БНС, ФБ-2) - 6-8% в пересчете на дубящие от массы строганых кож. Через 3 ч вращения в три приема через 10-15 мин заливают раствор уксусной кислоты в воде (1:4) -1 % от массы кож. Через 30 мин полуфабрикат промывают водой при температуре 30 °С в течение 20-30 мин.
На Курском кожевенном заводе процессы додубливания проводят строго дифференцированно в зависимости от вида вырабатываемых кож. Так, для кож со шлифованной лицевой поверхностью предусмотрено двукратное додубливание с промежуточным жированием. Первое додубливание проводят с помощью растительных и синтетических дубителей, а после жирования - синтетическим дубителем БНС.
При выработке кож средней мягкости с естественной или подшлифованной лицевой поверхностью предусматривается трехфазное додубливание. В первой фазе используют синтетические дубители двух типов: один для нейтрализации, а другой - для придания нежности и плотности лицевой поверхности кожи. При таком сочетании дубителей улучшается равномерность окрашивания.
Во второй фазе, которая проводится после крашения, для придания коже прочности и плотности используется экстракт квебрахо.
После жирования проводится третья фаза додубливания, но уже солями хрома. При этом коже придаются окончательные мягкость и наполненность. Кроме того, применение в конце красильно-жировальных процессов дубящих соединений хрома катионного характера резко уменьшает всасывающую способность лицевой поверхности кожи при нанесении на нее анионных эмульсионных покрывных композиций.
Для кож с естественной лицевой поверхностью повышенной мягкости (эластичных), "мятых", с тиснением специальными плитами после нейтрализации предусмотрено крашение и последующее додубливание в том же растворе экстрактом квебрахо. Последний способствует, помимо наполнения кож, сохранению рисунка после разбивки в барабане в отделочном цехе.
В последние годы широкое применение при додубливании кож для верха обуви нашли специализированные синтетические дубители, обладающие комплексом свойств: дубящим и красящим, дубящим и жирующим, дубящим и отбеливающим и т. д. [4, 23].
За рубежом получен комплексный хромсинтановый дубитель, обладающий высокой светостойкостью и додубливающей способностью по следующей методике [41]. Нафталин и ?-нафтол подвергают сульфированию при температуре 120 °С в течение 2 ч. В полученную смесь добавляют основной сульфат хрома, воду и формалин. После 2 ч перемешивания при температуре 90-95 °С в продукт добавляют сульфат натрия до рН 10%-ного раствора равного 2,5. Полученную массу высушивают распылением. Готовый дубитель представляет собой порошок золотисто-зеленого цвета, хорошо растворимый в воде.
ЦНИИКПом разработан синтетический дубитель НБ для белых кож, являющийся типичным оксиароматическим сульфосинтаном [42]. Этот дубитель получается путем поликонденсации фенолосульфокислот с мочевиной и формальдегидом. Образующаяся карбамидная межъядерная группа между сульфофенильными остатками обеспечивает устойчивость окраски кожи к воздействию света. Структурная формула этого дубителя может быть представлена следующим образом

|
Дубитель НБ выпускается в виде глыбы. Растворы его бесцветны и прозрачны. При додубливании он глубоко и быстро проникает в кожу, хорошо наполняет ее, особенно периферийные участки, оказывает отбеливающее действие.
В последнее время большое применение находят синтетические дубители, обладающие нейтрализующим действием.
Такие синтетические дубители получаются конденсацией ароматических сульфокислот, содержащих полностью нейтрализованные карбоксильные группы в форме натриевых или аммониевых солей [43].
Разработанный во МТИЛПе и ЦНИИКПе новый полифункциональный дубитель, обладающий одновременно дубящими, наполняющими и жирующими свойствами, является продуктом взаимодействия алкилсульфохлорида с мочевиноформальдегидной смолой

|
Этот жирующий синтетический дубитель способствует повышению выхода кожи по толщине [44], получению более мягких, пластичных кож при резком сокращении жировых материалов.
2. Додубливание и наполнение синтетическими полимерами
Для додубливания и наполнения кож могут быть использованы разнообразные полимеры, полученные как полимеризацией, так и поликонденсацией.
Из полимеризационных полимеров наибольшее применение нашли полиакрилаты и их сополимеры, которые используются в виде водных дисперсий.
Распределение в толще кожи полимеров, введенных в нее в виде водных дисперсий, зависит от сорбционной устойчивости дисперсии, содержания в ней стабилизатора (или эмульгатора) и его природы, активности кожи как сорбента. Чем интенсивнее сорбируются частицы дисперсии структурных элементов кожи, тем на меньшую глубину они проникают в толщу кожи. Особенно большое значение при этом имеют величина и знак заряда волокон и частиц дисперсии. Более глубокое проникание и равномерное отложение полимера в толще кожи происходит в том случае, если разность потенциалов между волокном и частицами дисперсии невелика. Поэтому для достижения требуемого эффекта наполнения важно строго соблюдать режим предыдущих процессов: нейтрализации, крашения и жирования.
Как показывает опыт работы предприятий, наполнение кожи одними дисперсиями полимеров не обеспечивает подготовки полуфабриката к покрывному крашению, особенно с точки зрения придания лицевому слою нужной степени гидрофильности и всасывающей способности. Кроме того, установлено, что такое наполнение приводит к существенному уменьшению выхода кожи по площади. В связи с этим в настоящее время наполнение кож хромового дубления дисперсиями полимеров обычно сочетают с наполнением (додубливанием) синтетическими или растительными дубителями. Эффект такого наполнения зависит от типа применяемых полимеров и дубителей.
Широкие многосторонние исследования свойств дисперсий полимеров и методов введения их в кожу проведены Н. Черонисом (США) и К. М. Зурабяном [45]. В настоящее время наполнение кож дисперсиями полимеров используется редко.
За рубежом для додубливания кож хромового дубления используют синтетические дубители на основе акриловой и метакриловой кислот. Вследствие взаимодействия с солями хрома они способствуют лучшему выбиранию последних из додубливающего раствора, а также большему связыванию хрома с кожей.
Широкое применение наряду с растительными и синтетическими дубителями нашли поликонденсационные полимеры, особенно водорастворимые.
Одним из ценных свойств водорастворимых полимеров является способность реагировать с фунциональными группами коллагена и дубящими веществами и превращаться в результате этого на волокнах дермы в водонерастворимые соединения. При этом происходит структурирование дермы вследствие поперечного скрепления молекулярных цепей коллагена.
Благодаря образованию пространственных структур коллаген-полимер или коллаген-дубитель-полимер структура дермы упрочняется и приобретает новые свойства.
Введение в полимеры полярных групп позволяет сохранить или незначительно изменить гигиенические свойства кож. Большинство водорастворимых полимеров оказывает одновременно дубящий и наполняющий эффект. Для улучшения свойств кожи могут использоваться разнообразные синтетические водорастворимые полимеры: поливиниловый спирт, полиакриловая или полиметакриловая кислоты, сополимер стирола и малеинового ангидрида, эпоксидные смолы, полиизоцианаты, продукты конденсации фурфуролового спирта, аминосмолы и др.
Из водорастворимых полимеров в качестве додубливающих и наполняющих кожу веществ наибольшее применение за рубежом в настоящее время нашли аминосмолы -продукты конденсации алифатических и гетероциклических азотсодержащих соединений (мочевины, ДДА и меламина) с формальдегидом. Для додубливания и наполнения кож аминосмолы применяют в виде:
а) мономеров или продуктов неполной конденсации (метилольные производные мочевины, меламина и их модифицированные производные), которые под действием кислых катализаторов легко конденсируются и, взаимодействуя с дубящими
соединениями, переходят в дерме в водонерастворимые смолы;
б) полностью сконденсированных полимеров (ДДА-смолы и их модифицированные производные), обладающих катионными и анионными свойствами, что позволяет перевести их в коже в водонерастворимое состояние при взаимодействии с кислотами, дубящими соединениями и противоположно заряженными соединениями (растительные и синтетические дубители, ПАВ).
Реакции взаимодействия с формальдегидом таких соединений, как мочевина, меламин и ДДА, в молекуле которых имеются группы амидного типа, характеризуются определенными закономерностями. Эти реакции протекают в несколько стадий, и направление их зависит от температуры, рН, концентрации реагентов и т. д. Первой стадией реакции является присоединение формальдегида к амидной группе с образованием метилольных производных. Метилольные производные в соответствующих условиях взаимодействуют между собой, образуя линейные полимеры высокой степени поликонденсации. При повышении температуры, понижении рН или одновременном их изменении может происходить дальнейшая поликонденсация, приводящая к возникновению пространственных структур, т. е. к сшиванию, желатинизации и отверждению.
Ниже рассматриваются свойства, способы получения и методики додубливания и наполнения кож аминосмолами.
3. Строение и свойства аминосмол
Мочевиноформальдегидные смолы. Эти смолы получаются конденсацией мочевины с формальдегидом. Существует много теорий, объясняющих механизм реакции мочевины с формальдегидом и последующей их поликонденсации. Однако до сих пор нельзя сказать, какая из этих теорий дает истинную картину механизма образования смол.
Независимо от условий протекания реакции мочевины с формальдегидом в первой ее стадии образуются оксиметиленовые (метилольные) группы. Мочевина имеет четыре реакционноспособных атома водорода и теоретически может присоединить четыре молекулы формальдегида, образуя тетраметилольные соединения [46]:

|
Эти реакции в присутствии воды обратимы и протекают до установления равновесия.
При дальнейшей конденсации метилолмочевины (в кислой среде) образуются мочевиноформальдегидные смолы: из монометилолмочевины - полимер линейного строения, из ди-, три- и тетраметилолмочевины - трехмерные пространственные полимеры. В процессе отверждения полимера выделяются вода и формальдегид:
б) образование эфирных связей

|
а) образование метиленовых связей

|
Обычно для получения метилольных производных мочевины на 1 моль мочевины берут 2 моля формальдегида.
Если препарат СДН предназначен для белых кож, то процесс синтеза заканчивается на стадии конденсации, до введения наполнителей.
Для наполнения полуфабриката, предназначенного на кожи для низа обуви, УкрНИИКПом получен карбамидно -уротропиновый препарат КМУ.
Сущность разработанной методики получения препарата КМУ заключается в следующем. При добавлении к смеси кислот (серная, уксусная) уротропин переходит в формальдегид, в результате чего последний взаимодействует с мочевиной, образуя метилольные производные мочевины. Процесс наполнения кож для низа обуви препаратом КМУ проводится совместно с алюминиевыми квасцами, в результате чего образование мочевиноформальдегидной смолы из метилольных производных происходит в структуре кожи на ее волокнах.
За рубежом выпускаются мочевиноформальдегидные смолы, представляющие собой метилольные производные мочевины: урезины (Uresin CD - катионная смола, Uresin AM - анионная смола и др.), умаколы, релуган и др.
Меламиноформальдегидные смолы. Меламин подобно мочевине реагирует с формальдегидом в слабощелочной среде с образованием метилольных соединений: начиная с монометилолмеламика и кончая гексаметилолмеламином. Как и метилолмочевину, метилольные производные меламина можно считать мономерами меламиноформальдегидных смол. Процессы их смолообразования в кислой среде аналогичны процессам смолообразования метилолмочевины. Однако поликонденсация метилолмеламинов может протекать в менее кислой среде (при рН = 4-5, а для метилолмочевины при рН = 2-3), что более выгодно с технологической точки зрения.
Метилольные производные меламина заряжены отрицательно, что объясняется повышенной электронной плотностью метилольных групп у атомов азота и кислорода

|
В процессе подкисления метилольные производные меламина и их конечный продукт - смола приобретают положительный заряд, что объясняется образованием комплексных соединений катионного типа (четвертичных аммониевых соединений) по схеме

|
Способность метилольных производных меламина изменять свой заряд в зависимости от рН среды используется на практике. Хорошо совмещаясь с анионоактивными соединениями (растительными и синтетическими дубителями, красителями и др.), метилольные соединения меламина после проникания в дерму и последующего подкисления приобретают положительный заряд и фиксируют упомянутые анионоактивные соединения в структуре кожи.
В кожевенной промышленности из метилольных производных наибольшее применение нашли триметилолмеламин (ТММ) и его производные. Другие метилольные производные меламина не используются по следующим причинам:
независимо от условий реакции для конденсации меламина с формальдегидом при молярном соотношении меламин : формальдегид (М:Ф) = 1 : 1 и 1:2 количество формальдегида недостаточно для связывания меламина;
с увеличением молярного соотношения М : Ф до 1:4, 1:5, 1 : 6 и т. д. получаются очень реакционноспособные и нестабильные продукты с большим количеством свободного формальдегида;
катионные свойства метилолмеламинов с увеличением соотношения М : Ф уменьшаются, что нежелательно, так как в этом случае они теряют способность фиксировать анионоактивные вещества (растительные и синтетические дубители, красители и др.).
Окрашенные метилольные производные меламина получают из ТММ [42, 75].
За рубежом для наполнения кож применяют такие меламиноформальдегидные смолы, как artanol WL (Швейцария) и tanac MRX (США) и др.
Дициандиамидформальдегидные (дициандиамидные) смолы. Дициандиамид (циангуанидин) обладает амфотерными свойствами. Учитывая влияние индуктивного и мезомерного эффектов [76], резонансные структуры молекул дициандиамида могут быть представлены следующим образом

|
Рассмотрение резонансной структуры ДДА (I) показывает, что вследствие индуктивного (<) и мезомерного (>) эффектов происходит изменение электронной плотности у атомов азота, в результате чего вся молекула ДДА оказывается частично положительно заряженной. При реакциях с формальдегидом такое положение сохраняется, и ДДА-смолы обычно получаются катионными. Реакция поликонденсации ДДА с формальдегидом очень сложная и идет в три стадии (А, В и С): образование растворимых метилольных соединений; получение водонерастворимого полимера вследствие реагирования метилольных групп соседних молекул и возникновения метиленовых мостиков между ними; переход этого продукта снова в водорастворимое состояние:


|
ДДА -смолы, применяемые в процессах додубливания и наполнения кож, бывают катионными и анионными.
Из катионных смол промышленное применение нашли смолы, полученные при молярном соотношении ДДА и формальдегида в пределах от 1 : 3,6 до 1 : 4,5. Строение катионных ДДА -смол может быть представлено следующим образом

|
Катионные ДДА -смолы выпадают в осадок под действием кислот, кислых и нейтральных солей. Водные растворы этих смол неустойчивы и при хранении переходят в гель. Поэтому обычно они выпускаются в порошкообразном виде.
Катионные ДДА -смолы можно получить тремя способами [1].
1. К одному молю ДДА добавляют 4,5 моля формальдегида и 1,8 г тетрабората натрия. Смесь нагревают, непрерывно перемешивая, на водяной бане с обратным холодильником при температуре 98-100 °С в течение 6 ч.
Полученная смола представляет собой вязкий, сиропообразный раствор (масса сухого остатка около 50%), который при хранении застывает, образуя стеклообразный гель. Для предотвращения гелеобразования смолы разбавляют водой или же сразу после получения сушат в распылительных сушилках или под вакуумом.
2. К 1 молю ДДА добавляют 4 моля формальдегида и 1 моль борной
кислоты. Смесь нагревают, непрерывно перемешивая, при температуре 96-
98 °С с обратным холодильником на водяной бане в течение 4 ч.
3. При получении этерифицированной ДДА -смолы к 1 молю ДДА добавляют 4 моля формальдегида, 5 молей метанола и нагревают смесь с обратным холодильником на водяной бане, непрерывно перемешивая, в течение 4 ч при температуре 83-85 °С. Затем добавляют 0,1 моля ледяной уксусной кислоты и еще 2 ч выдерживают при температуре 83 °С.
Анионные ДДА -смолы благодаря высокой реакционной способности ДДА и продуктов его конденсации с формальдегидом могут быть легко модифицированы, что дает возможность менять их свойства.
Особый интерес представляют смолы, полученные конденсацией ДДА и формальдегида в присутствии сернистой кислоты или ее солей. Например, при проведении конденсации в присутствии бисульфита натрия по мере увеличения количества сульфогрупп, введенных в молекулу ДДА -смолы, ее катионные свойства постепенно ослабевают, в структуре смолы постепенно появляются кислотные группы, придающие смоле анионные свойства. Присоединение бисульфита натрия происходит через метилольные группы по схеме

|
Высокая гидрофильность сульфогрупп придает анионным смолам в отличие от катионных хорошую растворимость в воде и стабильность при молярном соотношении ДДА и формальдегида, меньшем 1 : 3,6. Анионные ДДА -смолы в отличие от катионных устойчивее к действию нейтральных солей. Однако под влиянием кислот или кислых солей они также выпадают в осадок.
Анионные смолы имеют некоторое преимущество перед катионными. Во-первых, они устойчивы к действию нейтральных солей и щелочей, что позволяет совмещать обработку смолами и этими веществами. Во-вторых, анионные смолы значительно стабильнее, поэтому можно использовать их водные растворы. В-третьих, анионные смолы можно модифицировать различными органическими соединениями.
Строение анионных немодифицированных смол может быть представлено следующим образом

|
Установлено [23], что модификация анионных ДДА -смол еще больше увеличивает стабильность их водных растворов, упрощает и резко сокращает процесс синтеза, позволяет значительно снизить предел взрывоопасной концентрации их аэровзвесей, что делает возможным сушку жидких смол в распылительных сушилках.
Модифицированные анионные ДДА -смолы могут быть получены двумя способами [23].
1. К 1 молю ДДА добавляют 4,5 моля формальдегида, 0,25 моля бисульфита натрия и нагревают до температуры 98-100 °С с обратным холодильником при непрерывном перемешивании в течение 12-15 ч до получения продукта, устойчивого к разбавлению водой. Далее к смеси добавляют 85 г динафтилметандисульфоната натрия, перемешивают до растворения и охлаждают. Полученный светло-коричневый раствор с содержанием сухого остатка 56-59 % хорошо растворим в воде, а при подкислении осаждается.
2. К 1 молю ДДА добавляют 4,1 моля формальдегида, 1,5 г тетрабората натрия и 0,2-0,4 моля бисульфита натрия. Смесь постепенно нагревают до температуры 93-95 СС в течение 10-12 ч. Продукт конденсации (смола) охлаждают до температуры 70 °С и добавляют лигносульфоновые кислоты (ЛСК) в виде сульфитцеллюлозных щелоков, взятых в соотношении смола : ЛСК,=30-70. Конденсацию продолжают еще 1-2 ч. Полученная анионная дициандиамидная смола ДДЛС стабильна и хорошо растворима в воде.
В МТИЛПе разработана методика получения другой модифицированной смолы - дубитель ДДАМ-2-с. Он представляет собой продукт сополиконденсации ДДА, формальдегида и динафтилметандисульфоната натрия (диспергатора НФ) в присутствии бисульфита натрия. Характеризуется явно выраженными анионными свойствами, хорошо растворяется в воде, взаимодействует с дубящими соединениями хрома, циркония, титана, алюминия, минеральными и органическими кислотами, катионоактивными соединениями. Морозоустойчив.
Дубитель ДДАМ-2-с хорошо совмещается с красителями, растительными и синтетическими дубителями, жировыми эмульсиями и ПАВ. Водные растворы этого дубителя устойчивы к нейтральным солям. Тщательно проведенные токсикологические исследования показали, что этот дубитель относится к нетоксичным веществам.
За рубежом для додубливания и наполнения кож хромового дубления отдельно и совместно с растительными и синтетическими дубителями широко используют различные ДДА -смолы: катионные - Chemtan R-33 (США), Retingan R-7, Drasil P (ФРГ), Resitan К (ВНР), Satilan PLZ (ГДР); анионные - Retingan R-6, Relugan А и С, Drasil 507 (ФРГ), S-4, Rozin T (ПНР), Rezitan А (ВНР) и др.
Отличительной особенностью аминосмол является избирательное поглощение их полуфабрикатом в процессе обработки: рыхлые части (полы и воротки) сорбируют и связывают большее количество смолы, чем плотные (чепрак), в результате чего свойства разных топографических участков выравниваются.
Из аминосмол лучшим наполняющим действием обладают меламиноформальдегидные смолы. Считают, что введение в кожу 1 % этой смолы равноценно введению 4-6 % таннидов. Наполняющая способность мочевиноформальдегидных смол почти вдвое меньше. По наполняющему действию аминосмолы можно расположить в следующем порядке: меламиноформальдегидные > дициандиамидные > мочевиноформальдегидные. Об избирательном поглощении кожей ДДА -смолы Retingan R-6 можно судить по кривым, представленным на рис. 20, из которых видно, что вне зависимости от расхода смолы последняя сорбируется полами и пашинами значительно больше, чем чепраком. Прирост толщины в пашинах составляет примерно 20%, а в чепраке около 10 %.

Рис. 20. Влияние расхода ДДА -смолы Retingan R-6 на степень наполнения пашин (1), чепрака (2) и пол (3)
|
При додубливании кож растительными и синтетическими дубителями такого наполнения не достигают, о чем свидетельствуют приведенные ниже данные:
| |
Каштан |
Retingan R-6
|
| Толщина кожи, мм: |
|
|
|
| чепрак |
1,82 |
1,82
|
|
| пашина |
1,58 |
1,73
|
|
| Разность толщины чепрака и пашины, мм |
0,24 |
0,09
|
|
| Отношение толщины кож, додубленных смолой и каштаном, % |
0,00 |
+ 9,00 |
|
|
В отличие от растительных и синтетических дубителей аминосмолы в основном поглощаются рыхлыми периферийными участками (рис. 21).

Рис. 21. Схемы поглощения растительных или синтетических дубителей (а)
и ДДА -смол (б) кожей хромового дубления для верха обуви
|
Кроме того, как показали исследования, проведенные за рубежом и в нашей стране, аминосмолы в большей степени, чем другие додубливающие материалы, сохраняют гигиенические свойства натуральных кож.
В настоящее время за рубежом аминосмолы под разными торговыми названиями широко используются в качестве додубливающих реагентов в производстве кож хромового дубления повышенной мягкости с естественной лицевой поверхностью. Отмечается, что лучшие результаты достигаются при совместном применении аминосмол и синтетических дубителей, особенно, если обработка аминосмолой предшествует обработке синтетическим дубителем.
Одним из новых направлений в проведении красильно-жировальных процессов производства кож хромового дубления для верха обуви является совмещение этих процессов, т. е. проведение их одновременно без излишних промывок и сливов отработанных растворов. Такие способы проведения красильно-жировальных процессов, включающих додубливание, названы компактными [1, 48].
Компактные способы додубливания позволяют не только резко сократить продолжительность процесса в целом, упростить его, сэкономить электроэнергию, повысить производительность труда, но и снизить расход воды и загрязненность сточных вод.
Ниже описываются некоторые компактные способы проведения красильно-жировальных процессов в производстве кож хромового дубления для верха обуви.
Разработанный в Англии [48] компактный способ сводится к следующему. Строганый полуфабрикат нейтрализуют (синтетическим дубителем совместно с бикарбонатом натрия), затем в том же растворе проводят последовательно крашение, анионное додубливание и затем жирование. При этом необходимо учитывать, что анионное додубливание несколько обесцвечивает кожи, поэтому нужно более тщательно, подбирать соответствующие красители.
УкрНИИКПом разработан компактный способ красильно-жировальных процессов для обработки подкладочных кож из свиных шкур с применением для додубливания препарата СДН [24]. Обработку проводят при ж. к. = 1-1,5 и температуре 55-60 °С.
| Расход материалов, % от массы строганых кож |
|
| Препарат СДН (технический) |
5,0
|
|
| Формиат натрия |
0,5
|
|
| Жировые материалы |
6,0
|
|
| Красители |
0,4
|
|
| Неионогенное ПАВ |
0,7 |
|
|
Сначала в барабан заливают воду, затем через люк загружают СДН и неионогенное ПАВ, разбавленное водой в соотношении 1 : 10 в количестве 2/з от общего объема жидкости. Через 15 мин от начала вращения через полую ось барабана добавляют формиат натрия и жировую эмульсию, а затем вводят растворенные красители и остальное количество ПАВ. Продолжительность всего процесса 2,5 ч.
Для производства белых подкладочных кож вместо красителей добавляют диоксид титана в количестве 1 % от массы кож.
В МТИЛПе разработан компактный способ проведения красильно-жировальных процессов в производстве кож хромового дубления для верха обуви из шкур крупного рогатого скота. Полуфабрикат после кратковременной промывки обрабатывают без нейтрализации дубителем ДДАМ-2-с красителем, жировой эмульсией и в завершающей стадии - дубящими соединениями хрома.
Наличие в дубителе ДДАМ-2-с различных по природе функциональных групп делает его универсальным, т. е. применимым в красильно-жировальных процессах в качестве не только додубливающего и наполняющего, но и нейтрализующего реагента. Однако в данном случае речь идет не о нейтрализации в полном смысле этого слова, т. е. не о взаимодействии кислоты с щелочным реагентом, а о связывании кислоты, содержащейся в хромированном полуфабрикате, дубителем за счет его функциональных групп.
Способность дубителя ДДАМ-2-с взаимодействовать с кислотами и осаждаться при этом в структуре кожи позволяет использовать его при компактном способе проведения красильно-жировальных процессов, т. е. при одновременном крашении, додубливании и жировании без нейтрализации. При этом исключается традиционная промывка полуфабрикатов после нейтрализации.
Действительно, при классическом способе проведения красильно-жировальных процессов после нейтрализации следует обязательная промывка. Этот процесс, как известно, необходим для обязательного удаления нейтральных солей, образовавшихся в процессе нейтрализации. При контактном способе дубитель ДДАМ-2-с, взаимодействуя с кислотой, превращается в соль, которая в виде водонерастворимого высокомолекулярного продукта осаждается и связывается в межструктурном пространстве кожи. Тем самым достигается одновременно частичное додубливание и наполнение полуфабриката, а также удаление из него кислоты.
Применение в завершающей стадии красильно-жировальных процессов дубящих соединений хрома позволяет повысить не только термостойкость кож, но и наполняющую способность дубителя. В данном случае дубитель не просто осаждается кислотами, а переходит в водонерастворимое состояние в результате непосредственного взаимодействия с дубящими солями хрома. При этом полуфабрикат поглощает и связывает значительно больше солей хрома, а содержание хрома в отработанном растворе резко уменьшается. Повышенному связыванию хрома способствует также температура раствора, равная 60-65 °С.
При обычном додубливании солями хрома перед нейтрализацией в конце додубливания содержание оксида хрома в растворе перед сливом его в канализацию колеблется от 4-6 г/л. В случае применения компактного процесса в канализацию сливают до 0,5 г/л оксида хрома. Опыты показали, что для додубливания целесообразнее расходовать не 1 %, а 0,8% оксида хрома. Тогда содержание солей хрома в отработанном растворе снизится еще больше, т. е. будет иметь место практически полная отработка солей хрома.
Дубитель ДДАМ-2-с взаимодействует с солями хрома, осаждается в структуре дермы и, оказывая на нее расклинивающее действие, придает коже мягкость.
Разработанный во МТИЛПе компактный способ проведения красильно-жировальных процессов, включающий додубливание и наполнение дубителем ДДАМ-2-с, отличается простотой исполнения, хорошо вписывается в существующую технологию, не требует дополнительного оборудования, а также способствует:
интенсификации красильно-жировальных процессов (продолжительность процесса 3,5 ч);
устранению процесса нейтрализации кож, что обеспечивает саморегулирование процесса, в результате чего отпадает необходимость в контроле в целом;
повышению содержания хрома в коже до 6 % и получению полного, мягкого и эластичного полуфабриката с уплотненной лицевой поверхностью и наполненными периферийными участками;
уменьшению расхода воды и объема стоков (в 3 раза);
резкому уменьшению загрязненности сточных вод солями хрома;
повышению термостойкости кож и улучшению шлифуемости их поверхности.
4. Додубливание и наполнение глутаровым альдегидом
За последние годы во многих странах возрос интерес к глутаровому альдегиду как к реагенту, додубливающему и наполняющему кожу. Опыт работы некоторых кожевенных заводов подтверждает, что глутаровый альдегид улучшает полноту и мягкость кожи.
Использование глутарового альдегида в качестве додубливающего кожу вещества улучшает способность кожи к мытью, повышает ее устойчивость к действию щелочей и пота; оказывает заметный наполняющий эффект; выравнивает окраску поверхности кожи при барабанном крашении.
Глутаровый альдегид представляет собой бифункциональный альдегид, способный к полимеризации. Его структурная формула

|
Глутаровый альдегид, представляющий собой жидкость с температурой кипения 187-189 °С, обычно выпускают 25 %-ной концентрации, реже 50% -ной, так как при более высокой концентрации увеличивается его склонность к полимеризации.
Помимо негидратированной мономерной формы, глутаровый альдегид может существовать в гидратированной мономерной и полимерной формах (в виде полуацеталей):

|
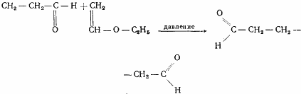
Получают глутаровый альдегид синтезом акролеина и винилэтилового эфира под высоким давлением:

|
В очень концентрированных растворах происходит циклополимеризация глутарового альдегида

|
По дубящему действию глутаровый альдегид несколько уступает формальдегиду (температура сваривания в первом случае 83, во втором 87°С), однако, по сродству к коллагену значительно его превосходит. Так, максимальное количество могущего быть связанным с коллагеном формальдегида составляет 1,4-2,2%, тогда как глутарового альдегида - 6,9%. Кроме того, после обработки глутаровым альдегидом не происходит снижения прочности лицевого слоя полуфабриката. При рН = 5 дубящий раствор глутарового альдегида отрабатывается на 70%, и через 1 ч дубления температура сваривания доходит до 80 °С. В аналогичных условиях раствор формальдегида отрабатывается только на 33% и температура сваривания 78 °С достигается только после 25 ч обработки.
Считают [49], что глутаровый альдегид может взаимодействовать с коллагеном по одной из следующих схем:

|
Предполагают [50], что глутаровый альдегид образует в коже олигомеры, которые сшивают полипептидные цепи коллагена. Каждая поперечная связь включает две-три молекулы альдегида.
Рассчитано также число ковалентных связей, образованных глутаровым альдегидом: при оптимальных условиях оно составляет 13 (тогда как формальдегид образует 6 поперечных связей).
Для додубливания кож за рубежом применяют водные препараты глутарового альдегида под торговыми названиями "релюган", "укатан" и др. Широкое применение находят продукты модификации глутарового альдегида различными органическими соединениями, например релюган ГТВ.
Глутаровый альдегид хорошо совмещается с минеральными дубителями, что позволяет успешно проводить комбинированное дубление и додубливание кож. Для додубливания кож обычно рекомендуется использовать 2-4 % альдегида (50%-ного) от массы строганого полуфабриката. Лучшие результаты в отношении гладкости и прочности лицевого слоя кожи достигаются при обработке строганого полуфабриката перед нейтрализацией. Это объясняется более низким рН ненейтрализованного полуфабриката, что приводит к более глубокому прониканию и равномерному распределению этого дубителя в коже.
Ряд зарубежных методик рекомендует использовать глутаровый альдегид для додубливания кож с анилиновой отделкой. Отмечается, что в этом случае, помимо мягкости и плотности, достигается равномерное окрашивание всей ее поверхности.
|
|
|