/ Отделка кож / Глава 1 / Класификация красителей
|
|
|
Изучение многочисленных и разнообразных синтетических красителей без их химической классификации было бы очень затруднительно. Классификация дает возможность подразделить все синтетические красители на группы с учетом таких факторов, как строение, наличие хромофорных группировок, химические свойства и методы получения. Ниже перечислены красители, нашедшие то или иное применение в кожевенной промышленности:
1) нитрокрасители, характеризующиеся наличием в их составе нитрогрупп, играющих роль хромофоров;
2) нитрозокрасители, имеющие в качестве хромофоров нитрозогруппы;
3) азокрасители, в состав молекул которых входят азогруппы, играющие роль хромофоров. По числу хромофоров азокрасители подразделяются на моноазокрасители, дисазокрасители, трисазокрасители;
4) арилметановые красители, представляющие собой производные метана, у которых центральный (метановый) атом углерода входит в единую сопряженную цепочку хромофорной системы. По своему строению арилметановые красители делятся на ряд групп: триарилметановые, ксантеновые, акридиновые и диарилметановые;
5) хинониминовые красители, рассматриваемые как производные хинонимина или хинондиимина и полученные замещением атома водорода иминогруппы ароматическим заместителем. К ним относятся оксазиновые, тиазиновые и азиновые красители;
6) антрахиноновые красители - производные антрахинона;
7) кубовые полициклические красители, содержащие, по крайней мере, две карбонильные группы и соединенные между собой системой сопряженных двойных связей;
8) индиго и индигоидные красители - собственно индиго и красители, построенные аналогично индиго;
9) сернистые красители - красители неизвестного строения, характеризующиеся общностью методов получения и химических свойств. Восстановление в растворимые производные осуществляется действием растворов сульфида натрия;
10) фталоцианиновые красители - пигменты, лаки, прямые, кубовые, сернистые и красители, образующиеся на волокне. Хромофорная система этих красителей характеризуется наличием замкнутой сопряженной цепочки, построенной из четырех остатков пиррола, связанных друг с другом атомами азота;
11) полиметиновые красители, хромофорная система которых характеризуется наличием цепочки сопряженных двойных связей, состоящей из свободных или замещенных метановых групп. Они имеют очень важное значение в качестве сенсибилизаторов в фотографии. В кожевенной промышленности они применяются мало. Красители этого класса, содержащие индольную группу, используются в полиграфической промышленности в виде нерастворимых лаков с гетерополикислотами и для крашения нитрона.
Химическая классификация красителей удобна при изучении способов синтеза, химического строения красителей и зависимости между их строением и свойствами, но оказывается малоприемлемой для тех, кто использует красители непосредственно в производстве, так как для них важно не химическое строение красителя и принадлежность его к тому или иному классу органических соединений, а практические условия, в которых данный краситель может и должен использоваться.
На основании этого наряду с химической была предложена техническая классификация красителей, учитывающая способы и области применения красителей - их химическую природу, растворимость и отношение к окрашиваемым телам различной природы.
Согласно принятой в СССР технической классификации все красители подразделяются на группы: кислотные, основные, прямые, протравные, металлсодержащие, активные, кубовые (преимущественно применяющиеся для крашения кож), сернистые, дисперсные, растворимые в органических средах, специальные пигменты и лаки, окислительные красители (последние применяются для крашения меха).
Кислотные красители. Кислотные (анионные) красители представляют собой соли ароматических сульфокислот R-SО3Nа и в водных растворах диссоциируют с образованием цветных анионов. Эти красители находят широкое применение вследствие своей светостойкости. Белковые волокна (кожу, мех, шерсть, шелк) и полиамидные волокна кислотные красители окрашивают в кислых или нейтральных средах. Ввиду высокой степени дисперсности они легко диффундируют в толщу дермы.
Кислотные красители непосредственно окрашивают все виды натуральных кож.
К числу кислотных из химической классификации красителей принадлежат преимущественно арилметановые, хинониминовые, антрахиноновые, азо- и нитрокрасители.
Кислотные азокрасители выпускаются всех цветов, часто очень ярких. По числу азогрупп это главным образом моно- и диазокрасители. Кислотные красители дают чистые и яркие окраски с хорошей устойчивостью к влажным обработкам и удовлетворительной устойчивостью к свету. Они находят широкое применение для крашения белковых волокон, в том числе для крашения кожи. Одним из важнейших показателей качества кислотных красителей является их ровняющая способность, т. е. способность давать однотонные окраски на волокнистых материалах. Большое влияние на ровняющую способность красителей оказывают сульфогруппы. Красители с двумя и более сульфогруппами, в которых доля молекулярной массы красителя, приходящаяся на одну сульфогруппу, меньше или ненамного больше 300, хорошо растворимы в воде и обладают хорошей ровняющей способностью. При меньшем числе сульфогрупп и соответственно большей (более 400) доле молекулярной массы на сульфогруппу красители растворяются в воде хуже и являются плохо ровняющими. К ним относятся кислотный, коричневый К, кислотный черный 2С и др.
|
 |
Однако эти красители проявляют большее сродство к белковым волокнам и окраска получается более прочной.
Лучшими кислотными красителями являются аминоантрахиноновые, содержащие сульфогруппы в антрахиноновом ядре или в арильном остатке ариламиногруппы. Это красители кислотный синий антрахиноновый, хромовый зеленый антрахиноновый, применяемый для крашения кожи, и др.
|
 |
Кислотные аминоантрахиноновые красители позволяют получить окраски, отличающиеся яркостью, высокой устойчивостью к действию света и влажных обработок.
Основные красители. Основные (катионные) красители представляют собой соли ароматических оснований и минеральных или органических кислот (R-NН2 o НХ), например
|
 |
В водных растворах эти красители диссоциируют с образованием цветных катионов. Компенсирующими анионами обычно являются хлориды, бисульфаты и оксалаты.
Основные красители обладают сродством к волокнам, имеющим амфотерный и кислый характер, и окрашивают их из водного раствора.
Основные красители почти не обладают сродством к кожам хромового дубления, но могут окрашивать их после предварительной обработки веществами фенольного характера (таннидами, синтетическими олигомерными фенольными смолами и т. п.), в результате которой в кожу вводятся слабокислые функциональные группы. С ними и взаимодействуют основные красители. Такое крашение называется крашением по протраве, например крашение по таннидной протраве.
Существенным недостатком основных красителей является их слабая светостойкость.
Из водных растворов они осаждаются солями тяжелых металлов, щелочами, кислотными и прямыми красителями, поэтому совмещать крашение основными и кислотными красителями в одном растворе нельзя.
Прямые красители. Прямые красители представляют собой соли ароматических сульфокислот (R-SО3Nа). По химической природе они аналогичны кислотным красителям и в водных растворах диссоциируют с образованием цветных анионов, обладающих ярко выраженной способностью к ассоциации. Компенсирующими катионами обычно являются катионы натрия, реже - аммония. Эти красители обладают сродством к целлюлозным волокнам и окрашивают их в присутствии электролитов непосредственно из водного раствора, а также к волокнам амфотерного характера, в том числе к волокнам кожи. Вследствие более значительной молекулярной массы и большей способности к ассоциации диффузионная способность прямых красителей меньше, чем кислотных. По яркости и насыщенности цветов прямые красители уступают кислотным. Из общего числа марок прямых красителей около 70 % составляют азокрасители. Почти все прямые азокрасители содержат не менее двух азогрупп. Они имеют достаточно длинную цепь сопряжения, содержащую не менее восьми сопряженных двойных связей. Все атомы молекулы прямого красителя располагаются в одной плоскости - копланарно. Линейность и копланарность молекул прямых красителей способствуют проявлению сил межмолекулярного взаимодействия между красителем и волокном. Наличие в молекулах прямых красителей таких заместителей, как амино-, окси-, азогруппа и другие способствует возникновению водородных связей между волокном и красителем. Благодаря наличию кислотных групп SО3Н прямые красители хорошо растворимы в воде. Типичным представителем прямых красителей может быть прямой чисто-голубой:
|
 |
Протяженная цепь сопряженных двойных связей, наличие групп -NH2, -ОН, -OCНз создают возможность прочного взаимодействия с волокнами. Наиболее ценными прямыми красителями являются полиазокрасители, так как они, благодаря линейной структуре и большому числу группировок, способных к образованию межмолекулярных связей, образуют более прочные и устойчивые окраски, чем красители с меньшими размерами молекул.
Протравные красители. Протравные красители представляют собой растворимые в воде соединения, содержащие заместители, обусловливающие способность к комплексообразованию с металлами (крашение по металлической протраве). При наличии кислотных групп эти красители обладают сродством к белковым волокнам. В комплексообразовании с белками участвуют молекулы не только красителя, но и белкового вещества. Протравные красители взаимодействуют с белками с образованием как ионных связей краситель - волокно, так и координационных связей краситель - металл - волокно. Связь с волокном осуществляется через атом металла, который образует внутрикомплексное соединение с красителем и с белковым веществом кожи, становясь мостиком между ними:
|
 |
В результате комплексообразования краситель утрачивает растворимость и прочно связывается с белковым веществом, что обусловливает высокую устойчивость окрашенного материала к мокрому и сухому трению.
К протравным относятся красители, применяемые для крашения с предварительным или последующим хромированием. Для крашения с одновременным хромированием можно использовать только определенную группу красителей, содержащих комплексообразующие заместители в орто-положении к азогруппе. Такие красители получили название однохромовых. Например
|
 |
По сравнению с кислотными красителями однохромовые образуют на белковых волокнах окраски менее яркие и чистые, но значительно более устойчивые к различным физико-химическим воздействиям. Это объясняется способностью однохромовых красителей к образованию комплексных соединений с хромом, сопровождаемой уменьшением растворимости красителя, и к образованию дополнительной связи между красителем и волокном через атом хрома. С появлением металлокомплексных красителей практическое значение однохромовых красителей резко уменьшилось.
Металлсодержащие красители. Усовершенствованным способом крашения кислотными и протравными красителями является крашение металлсодержащими (металлокомплексными) красителями. Они представляют собой готовые внутрикомплексные соединения красителей с металлами. Технология крашения металлсодержащими красителями мало отличается от технологии крашения обычными кислотными красителями. Образующиеся же окраски являются очень прочными к различным воздействиям. В качестве комплексообразующего агента обычно применяют соли хрома (III), реже соли кобальта, никеля и железа (III). Металлсодержащие красители представляют собой комплексы трех типов (X - кислотный остаток, Ме - ион металла):
комплексы состава 1:1 , т. е. такие, когда одна молекула азокрасителя соединена с одним атомом металла,
|
 |
комплексы состава 1:2, т.е. комплексы, в которых две молекулы азокрасителя связаны с одним атомом металла,
|
 |
В металлокомплексных красителях состава 1:2 металлы, имеющие координационное число 6, прочно связаны с шестью лигандами. Поэтому эти красители в отличие от металлокомплексных красителей состава 1:1 не образуют с белковыми волокнами координационных связей. Они прочно соединяются с волокнами с помощью ионных связей и Ван-дер-ваальсовых сил.
Металлокомплексные красители состава 2:3 представляют собой соединения катионного комплекса состава 1:1с анионным комплексом состава 1:2 и при взаимодействии с белковыми волокнами образуют как координационные, так и ионные и адсорбционные связи;
комплексы состава 2:3, т. е. такие, в состав которых входят три молекулы азокрасителя и два атома трехвалентного металла,
|
 |
Крашение металлсодержащими красителями не эквивалентно образованию комплекса на волокне (при протравлении и крашении), в каком бы порядке эти два процесса ни осуществлялись. Различие состоит не только в химическом строении комплекса волокно - краситель - металл, но и в том, что обычно выкраски из растворимых металлокомплексов ярче, чем при протравном крашении, однако последние часто являются более прочными [3]. Металлокомплексные красители состава 1:1 хорошо комбинируются между собой и дают широкую гамму оттенков. Красители состава 1:2 хорошо комбинируются не только между собой, но и с красителями других классов.
Кислотные металлокомплексные красители, выпускаемые в странах - членах СЭВ, имеют такие наименования: в ГДР - вофаланы, в ПНР - нейтраланы и польфаланы, в ЧССР - хромоланы и осталаны.
Металлсодержащие красители, имеющие стабильные координационные комплексы, получаются с азокрасителями, хиноноксимами и оксиантрахинонами.
В крашении кож металлсодержащие красители занимают особое место, так как являются универсальными, т. е. имеют одинаковое сродство к кожам различного дубления - хромового, таннидного, комбинированного и др.
Активные красители. Активными называются такие красители, которые содержат атомы или группы атомов, способные реагировать с функциональными группами белков с образованием ковалентных связей, поэтому окраски отличаются высокой устойчивостью к мокрым обработкам и другим физико-химическим воздействиям.
Активным красителям можно приписать общую формулу [2]: S - Кр - ТХ (где S - группы, обусловливающие растворимость молекул красителя в воде; Кр - часть молекулы, определяющая цвет красителя; ТХ - реакционноспособная группа, в которой X - атом, способный отделяться от молекулы красителя при взаимодействии активных красителей с волокном).
В качестве групп, придающих молекулам красителя способность раствориться в воде, можно использовать сульфо-, карбоксильные и сульфоэфирные группы. Хромофорной частью молекул являются разнообразные хромофорные системы, характерные для кислотных и других красителей - антрахиноновые, фталоцианиновые и др. В роли реакционноспособных групп, сообщающих красителям активные свойства, выступают разнообразные активные центры, например
|
 |
Различные активные красители отличаются друг от друга главным образом строением реакционноспособной группы ТХ (табл. 1). Активные красители классифицируют и называют по названиям реакционноспособных групп.
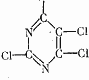
Наиболее распространенными активными азокрасителями являются красители с реакционноспособными хлортриазиновыми группами:
|
 |
Способность хлортриазиновых красителей образовывать ковалентные связи объясняется подвижностью атомов хлора, которые взаимодействуют с аминогруппами белковых волокон по следующей схеме:
|
 |
Таблица 1. Примеры активных красителей с разными реакционноспособ-ными группами
| Группа ТХ |
Красители |
Страна (фирма) |
| строение |
название |
 |
Дихлор-триазиновая |
Активные XОстазины СПроционы МГелактины Ф |
СССРЧССР(Chemapol)Англия(JCJ)ПНР |
|
 |
Монохлор-триазиновая |
Активные Остазины НГелактины Ксироны Н Реактивные М Проционы НЦибакроны |
СССР ЧССР (Chemapol)ПНР (CIECH)ГДР СРР Англия (JCJ)Швейцария (CIBA) |
|
 |
Трихлор-пиримидиновая |
Дримарены Реактоны |
Швейцария (Sandoz) Швейцария (Gaigy) |
|
 |
Дихлор-хиноксалиновая |
Левафиксы Е |
|
|
 |
Дихлор-пиридазоновая |
Примазины Р |
ФРГ(BASF) |
|
| (-NH) -CO-CH2CI-SO2 -CH2CH2 -OSO3Na |
Хлорацетиламидная Винилсульфоновая |
ЦибаланыАктивные ТОстазины Гелактины Ремазоли Ремаланы |
Швейцария (CIBA)СССРЧССР (Chemapol)ПНР (CIECH)ФРГ (Hoechst) |
|
| -SO2 -NH -CH2CH2 -OSO3Na-NH -CO -CH=CH2 |
Винилсульфамидная Акриламидная |
Левафиксы Примазины Цибакроланы Проциланы |
ФРГ(Bayer)ФРГ(BASF)Швейцария(CIBA)Англия(JCJ) |
|
|
Наиболее реакционноактивными являются дихлортриазиновые красители. Крашение ими может производиться при температуре 20 - 30 °С. Монохлортриазиновые красители менее активны; они образуют ковалентную связь только при температуре крашения 60 - 80 °С.
|
 |
Красители, содержащие активные группы хлорида ацила, взаимодействуют с белковыми волокнами по следующей схеме:
|
 |
При крашении активные красители участвуют в двух одновременно протекающих реакциях: с белком (основная) и с водой (побочная):
S - Кр - ТХ + Белок>S - Кр - Т - Белок + НХ S - Кр - ТХ + НОН> S - Кр -Т - ОН + НХ
|
Взаимодействие активных красителей с водой сопровождается образованием неактивной формы. Такой краситель не может вступать в ковалентную связь с аминогруппами белка, а взаимодействует с ними только путем образования адсорбционных связей, что является существенным недостатком активных красителей.
В зависимости от строения красителя и условий крашения с водой взаимодействует от 10 до 30 % красителя. Особенно легко взаимодействуют с водой дихлортриазиновые красители. Гидролиз активных красителей значительно ускоряется с повышением температуры и рН красильного раствора. Для уменьшения побочной реакции активных красителей вводят в их раствор третичные амины, ускоряющие реакцию красителя с окрашиваемым волокном.
Окраска активными красителями отличается высокой стойкостью к влажным обработкам, трению и действию органических растворителей.
Кубовые красители. Кубовые красители представляют собой полициклические соединения, главным образом производные антрахинона и полициклических хинонов с большим числом конденсированных изо- и гетероциклов. Полициклические хиноны нерастворимы в воде. Для перевода их в растворимое состояние используется способность карбонильных (хинонных) групп при восстановлении превращаться в фенольные, ионизирующиеся в щелочной среде и обусловливающие растворимость хинонов:
|
 |
Продукты восстановления красителей получили название "лейкосоединений" (неокрашенный) по аналогии с названием почти бесцветного продукта восстановления индиго.
|
 |
Крашение проводят из раствора лейкосоединения, которое окисляется на волокне кислородом воздуха в исходный краситель. Для крашения белковых волокон используются только те кубовые красители, которые способны восстанавливаться в мягких условиях (при меньшей щелочности и низкой температуре). Кубовые красители обладают высокой светопрочностью и стойки к влажному и сухому трению.
Однако использование нерастворимых в воде кубовых красителей имеет ряд существенных недостатков. К этим недостаткам относятся необходимость применения гидроксида натрия для перевода кубовых красителей в растворимую в воде натриевую соль лейкосоединений, что исключает возможность использования последних для крашения белковых волокон. Кроме того, лейкосоединения кубовых красителей, обладая значительным сродством к волокнам, дают поверхностное и неровное окрашивание. Но отмеченные недостатки устраняются превращением кубовых красителей в кубозоли - растворимые натриевые соли сульфатов (эфиров) лейкосоединений кубовых красителей, имеющие общую формулу RОSО3 Ме. Эти соединения устойчивы к действию воздуха, не расщепляются в нейтральных, слабощелочных и слабокислых растворах при нагревании и обладают свойствами прямых красителей. Применение их не требует предварительного восстановления и не связано с использованием сильнощелочных растворов. Поэтому кубозолями можно окрашивать белковые волокна в кислой среде. После обработки волокнистого материала кубозоли подвергают гидролизу в присутствии слабых окислителей. При этом сульфат расщепляется и освободившееся лейкосоединение окисляется в краситель. Гидролиз осуществляется в слабокислой среде, в качестве окислителей обычно применяют нитрит натрия NаNО2 или хлорид железа FеС13. Реакция протекает по следующей схеме:
|
 |
Термин "кубозоль" заменяет термин "кубовый" в названии исходного красителя. Например, кубозоль золотисто-желтый ЖХ - производное кубового золотисто-желтого ЖХ, кубозоль ярко-зеленый С - производное кубового ярко-зеленого С. Строение отмеченных кубозолей выражается следующими формулами:
|
 |
Хранят кубозоли в герметически закрытой таре, в местах, защищенных от действия солнечного света, паров кислот и нагревания.
Красящие синтаны. При крашении в кожевенном и меховом производстве в последние годы начинают применять соединения, обладающие наряду с красящими рядом других свойств, таких, как дубящие, наполняющие и жирующие. Применение полифункциональных материалов позволяет интенсифицировать процессы производства кожи, сократить расход воды и уменьшить загрязненность сточных вод. Эти соединения придают окрашенной коже и кожевой ткани меха повышенную устойчивость к действию света, влажным обработкам, химической чистке и трению. Все это является весьма важным и перспективным для повышения качества кожи и меха и интенсификации технологических процессов.
Получение красящих синтанов может осуществляться различными способами:
приконденсацией органических красителей к синтанам с помощью альдегидов, метилольных производных мочевины, меламина, дициандиамида и др.;
непосредственным взаимодействием синтетических дубителей с реакционноспособными красителями (преимущественно активными);
сочетанием ароматических оснований, содержащих азогруппы с синтанами;
сополиконденсацией металлокомплексных красителей с фенолформальдегидными смолами;
окислением резорцин- или пирокатехинформальдегидных смол.
В качестве примера можно привести получение синтана красящего приконденсацией активного красителя ремазола красного к метилольному соединению дициандиамидной смолы (ДДА-смолы). В слабощелочной среде при повышенной температуре от красителя отщепляется остаток серной кислоты и образуется винилсульфон Кр - SО2 - СН = СН2, где Кр - часть молекулы красителя. Образующийся винилсульфон реагирует с метилольной группой ДДА-смолы. Реакции в щелочной среде с ДДА-смолой можно представить в следующем виде (где Дд - часть молекулы ДДА-смолы, содержащей метилольную группу):
|
 |
Окрашенные смолы получали путем конденсации ДДА с формальдегидом в присутствии катализатора, которым являлась бура. За 45 мин до окончания конденсации вводили краситель. В этом случае получали продукт, раствор которого при электрофорезе перемещался к катоду. Аналогично указанному приготавливался анионный продукт, с той лишь разницей, что при конденсации ДДА с формальдегидом вводили бисульфит натрия. Получаемые продукты хорошо растворялись в воде и давали растворы без осадка. Окрашенные смолы использовали для обработки голья после мягчения, а также полуфабриката после хромового дубления и нейтрализации. В том и другом случае образцы полуфабриката перед обработкой окрашенными смолами подвергали действию ПАВ, так как после этого они лучше фиксируют окрашенную ДДА-смолу. Одну группу образцов перед обработкой катионным продуктом подвергали действию анионного ПАВ, а другую перед обработкой анионным соединением - катионного ПАВ. После этого образцы при рН = 8-8,5 и температуре раствора 40 °С обрабатывали окрашенными смолами. В конце процесса использовали подкисление серной кислотой до рН = 4 для лучшей фиксации окрашенной смолы. Независимо от заряда окрашенная смола проникала в толщу дермы мягченого голья на 40 % как с лицевой, так и с бахтармяной стороны. Более глубокое проникание анионной смолы в мягченое голье достигалось при предварительной обработке его катионным ПАВ. Общая глубина проникания в этом случае, составляла около 75 % всей толщины дермы.
В образцы хромового дубления, предварительно обработанные анионным ПАВ, катионная смола проникает более глубоко. Наиболее глубокое проникание в образцы хромового дубления анионной смолы достигается предварительной обработкой их катионным и анионным ПАВ. Введение в полуфабрикат окрашенных ДДА - смол обеспечивает прочную фиксацию в нем красителя. Опыты показали, что такой способ может быть использован для крашения велюра. Прочная окраска является следствием того, что окрашенный продукт вступает в реакцию с функциональными группами белка и продуктов дубления, образуя при этом ковалентные связи. В результате такой обработки наряду с крашением достигается резкое повышение температуры сваривания и формирование объема дермы, что свидетельствует о дубящем эффекте упомянутого продукта. Таким образом, можно одновременно производить дубление и крашение. Совмещение в едином технологическом процессе дубления и крашения отличается высокой экономической эффективностью.
Изменение метилольных производных меламина под действием различных красителей позволяет не только совместить крашение и наполнение, но и значительно повысить прочность окраски кожи.
Окрашенные метилольные производные меламина получаются путем конденсации меламина с формальдегидом; по окончании конденсации в аппарат при непрерывном перемешивании вносится краситель. Массовое соотношение меламина и красителя равно 1 : 0,25 для прямого черного 3 и кислотного черного С и 1 : 0,15 для активного ярко-красного 6С с конденсацией в течение 10-15 мин при температуре 75-80°С; получается растворимый в воде окрашенный продукт. Схема образования триметилолмеламина (ТММ) с красителем прямым черным 3 может быть представлена так:
|
 |
Взаимодействие с ТММ красителя ярко-красного 6С можно представить в следующем виде:
|
 |
Не исключено взаимодействие по другой схеме:
|
 |
Установлено, что между ТММ и красителями образуются химические связи различных видов, включая и ковалентные. Взаимодействие окрашенных меламиноформальдегидных смол с волокнами шерсти происходит с образованием ковалентной связи между белковым волокном и окрашенной смолой:
|
 |
Введение окрашенной триметилолмеламиновой смолы (ТММ -смолы) производилось после нейтрализации полуфабриката хромового дубления с расходом 3,5 % от массы строганых кож. Последующие операции велись по установленной в производстве методике. При испытании образцов на светопрочность не было обнаружено изменения окраски.
Это свидетельствует о том, что окрашенная смола при взаимодействии с образцами полуфабриката хромового дубления образует весьма прочные химические связи.
Испытание на прочность к влажному трению показало значительное упрочнение окраски при использовании окрашенных метилольных производных меламина. Эти данные свидетельствуют о перспективности применения окрашенных полимеров (аминосмол) для совмещения наполнения и крашения кож.
К недостаткам описанного способа получения красящего синтана относятся: значительная молекулярная масса соединения, замедляющая диффузию его в структуру дермы, высокая стоимость и невысокая дубящая активность соединения.
Из других способов получения полифункциональных соединений наиболее перспективным является способ окисления резорцинформальдегидных смол, в результате чего получается соединение, обладающее дубящими и красящими свойствами. При окислении резорцинформальдегидной смолы гипобромитом калия и пероксидом водорода в сильно кислой среде получается соединение, окрашивающее кожу и кожевую ткань меха в коричневый цвет, а в щелочной - в синий.
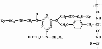
Более совершенным является способ получения полифункциональных соединений, обладающих красящими, дубящими и наполняющими свойствами, разработанный сотрудниками Московского технологического института легкой промышленности (МТИЛПа) и Центрального научно-исследовательского института кожевенно-обувной промышленности (ЦНИИКПа) [4]. Он заключается в получении металлсодержащих синтанов, окрашивании в результате введения электронно-акцепторной нитрозогруппы, углублении окраски путем комплексообразования с различными переходными металлами, дублении при поликонденсации с фенолами в щелочной среде. Отличительной особенностью полифункциональных соединений является то, что они синтезируются без применения готовых форм дубителей или красителей.
Схематически строение красящего синтана можно представить в следующем виде
|
 |
Красящие синтаны выпускаются химической промышленностью в виде порошков под названием синтан красящий МЗ (металлокомплексный зеленый) и синтан красящий МК (металлокомплексный коричневый). Синтан красящий МЗ в качестве комплексообразователя содержит железо, а синтан МК - кобальт [4].
Эти синтаны обладают хорошими дубящими и красящими свойствами, устойчивость их к действию света, а также к осаждению кислотами и щелочами хорошая. Средняя молекулярная масса красящего синтана около 1900. Методом ИК -спектроскопии и рентгенографии показано, что функциональные группы кожи образуют с реакционными группами красящего синтана водородные электровалентные и координационные связи.
|
|
|